L’équipe EFD développe des activités de recherche originales et pluridisciplinaires à l’interface entre le Génie Electrique, la Mécanique des Fluides et la Thermique. Plus précisément, elle étudie les phénomènes électriques aux interfaces et leurs interactions avec les fluides. Ces phénomènes, appelés « phénomènes électrofluidodynamiques » (EFD), peuvent se traduire par la mise en mouvement d’un fluide par l’application d’un champ électrique, ou à l’inverse, par la génération et le déplacement de charges électriques du fait de l’écoulement d’un fluide. L’équipe est organisée autour de quatre axes thématiques traitants des phénomènes électrostatiques et électrodynamiques dans les gaz, les liquides et les solides divisés :
Le spectre très large des thématiques abordées par l’équipe dans le domaine de l’électrofluidodynamique est original car il est rare que l’ensemble des phénomènes EFD soit étudié au sein d’une seule et même équipe de recherche. Les travaux de l’équipe EFD sont par nature multi-physiques puisque les phénomènes étudiés relèvent de plusieurs disciplines comme le génie électrique et le comportement électriques des matériaux, la mécanique des fluides, le transfert d’énergie et de masse aux interfaces et les phénomènes thermiques. De plus, ils sont multi-échelles dans l’espace spatio--temporel. Les activités de l’équipe EFD sont majoritairement expérimentales, soutenues par des approches de modélisations numériques de plus en plus importantes et transversales.
Axe Plasmas, interfaces et contrôle d’écoulement
Intervenants : Nicolas BENARD, Thomas ORRIERE, Eric MOREAU
Contexte : Cet axe thématique développe des décharges électriques originales dans l’air à pression atmosphérique et étudie leurs propriétés électriques, optiques et mécaniques. Notre objectif, qui fait notre particularité dans le monde des plasmas, est de caractériser et expliquer les phénomènes électroaérodynamiques au sein de la décharge en corrélant systématiquement les caractéristiques de la décharge au phénomène de conversion électromécanique à l’origine du « vent ionique ». De plus, nous portons une attention particulière aux interactions entre le plasma et le fluide environnant, ainsi qu’aux phénomènes ayant lieu aux interfaces (plasma-gaz, plasma-liquide, plasma-matériau diélectrique).
Le principal domaine d’application de ces recherches est le contrôle des écoulements aérodynamiques, sujet sur lequel nous avons une reconnaissance internationale depuis une vingtaine d’années. Cependant, les décharges que nous étudions sont aussi appliquées à d’autres domaines tels que les transferts thermiques, la chimie et la propulsion d’aéronefs atmosphériques par exemple. Les décharges étudiées sont diverses : décharges couronnes DC et AC, décharges à barrières diélectriques de surface ou de volume, décharges pulsées nanosecondes, micro-plasmas, jets plamas, décharges glissantes et col sonique plasma, etc. Pour ces recherches essentiellement expérimentales, l’axe s’appuie sur des équipements métrologiques multi-physiques et multi-échelles très performants. Cet axe de recherche bénéficie de l’appui du Labex INTERACTIFS, de l’EUR INTREE, ainsi que de nombreux projets nationaux et européens.
Contexte :
L’objectif principal de cette activité est de caractériser des plasmas générés dans l’air ambiant afin de comprendre comment ces décharges génèrent des écoulements ou interagissent avec les écoulements environnants. Cette approche permet de développer des actionneurs plasmas innovants et de mieux comprendre les interactions entre le plasma et son environnement . Nous utilisons notamment une approche multi-diagnostics originale et pluridisciplinaire avec de l’imagerie intensifiée (iCCD), de la vélocimétrie par imagerie de particules haute-fréquence (PIV), la spectroscopie d’émission (OES), la visualisation Schlieren et des mesures électriques (basse et haute fréquences). Nous nous reposons également sur une large gamme de sources d’excitation, du continu (DC) à la nanoseconde, avec de nombreuses possibilités de matériaux et de géométries de réacteur. Notre expertise s’étend des plasmas peu énergétiques comme les décharges couronnes et les décharges à barrière diélectrique jusqu’aux plasmas très énergétiques comme les arcs et les étincelles.
Vent ionique généré par un actionneur plasma de type DDBD de surface |
Actionneur plasma pour la réduction de trainée de frottement |
Visualisation iCCD de la propagation des streamers d’une « sliding discharge » |
Publications :
Moreau E, Bayoda K, Benard N, “Streamer propagation and pressure waves produced by a nanosecond pulsed surface sliding discharge: effect of the high-voltage electrode shape », Journal of Physics D: Applied Physics 54 (7), 2021.
Moreau, E., Audier, P., Orriere, T. and Benard, N., “Electrohydrodynamic gas flow in a positive corona discharge”. Journal of Applied Physics, 125(13), p.133303, 2020.
Orrière, T., Moreau, E. and Pai, D.Z., “Ionization and recombination in nanosecond repetitively pulsed microplasmas in air at atmospheric pressure”. Journal of Physics D: Applied Physics, 51(49), p.494002, 2018.
Moreau E., Audier P., Benard N., “Ionic wind produced by positive and negative corona discharges in air”, Journal of Electrostatics, Vol. 93, pp. 85-96, 2018.
Bayoda, K.D., Benard, N. and Moreau, E., 2015. Nanosecond pulsed sliding dielectric barrier discharge plasma actuator for airflow control: Electrical, optical, and mechanical characteristics. Journal of Applied Physics, 118(6), p.063301.
Benard N., and Moreau E., “Electrical and mechanical characteristics of surface AC dielectric barrier discharge plasma actuators applied to airflow control”, Experiments in Fluids , vol. 55, 43 pages, 2014.
Benard, N., Zouzou, N., Claverie, A., Sotton, J. and Moreau, E., 2012. Optical visualization and electrical characterization of fast-rising pulsed dielectric barrier discharge for airflow control applications. Journal of Applied Physics, 111(3).
Contexte :
L’activité de contrôle d’écoulements aérodynamiques est l’illustration parfaite de la pluridisciplinarité de l’équipe EFD car elle fait appel à différentes compétences allant de la physique des plasmas à la turbulence. Il s’agit de l’un des thèmes pionniers de l’équipe qui cumule désormais une vingtaine d’année d’expérience dans le domaine. Initialement plus spécifiquement orienté vers le contrôle d’écoulement massivement décollé, nous nous sommes peu à peu tournés vers des stratégies de contrôle plus originales, construites sur la base d’une connaissance fine de l’écoulement à manipuler et en particulier sa dynamique naturelle. Un grand nombre de nos études ont pu démontrer l’efficacité des décharges de surface pour recoller un écoulement partiellement ou totalement décollé dans une gamme de nombre de Reynolds allant de 200.000 à 1.3×106 que ce soit par des approches de manipulation de la dynamique des couches cisaillées en boucle ouverte ou par des actions de forçage temps-réel. Les stratégies construites sur l’injection localisée d’une forte quantité de mouvement stationnaire ont rapidement montré leurs limites pour finalement ouvrir un champ de recherche intimement lié aux interactions spatio-temporelles entre l’écoulement produit par la décharge et les phénomènes d’instabilités aérodynamiques se développant notamment en région pariétale. Par ce biais, de nouvelles approches et des actionneurs durables spécifiques dédiés à la réduction du frottement turbulent, à la manipulation de la transition de couche limite ou encore au contrôle de l’isotropie turbulente ont été progressivement mise en place avec le soutien financier de différents projets nationaux et internationaux coordonnés par ou impliquant l’équipe EFD. Cette thématique est portée par un nombre conséquent de collaborations mettant en synergie les compétences propres de l’équipe avec des outils métrologiques ou méthodologiques innovants tel que l’optimisation par programmation génétique peu maitrisée au sein de l’Institut.
Visualisation Schlieren d'un jet sonique modulé par plasma (vitesse de 360 m/s) |
Dynamique des structures tourbillonnaires d'une couche de mélange par le critères Q contrôlé par un actionneurs plasma instationnaire. |
Réduction de la trainée turbulente par un actionneur plasma modulé dans l'espace, optimisation par algorithme génétique.
Publications :
Yadala S., Benard N., Kotsonis M., and Moreau E., Effect of dielectric barrier discharge plasma actuators on vortical structures in a mixing layer, Physics of fluids 32 (12), 124111, 2020. Yadala S., Hehner M. T., Serpieri J., Benard N., Dôrr P. C., Kloker M. J., and Kotsonis M., Experimental control of swept-wing transition through base-flow modification by plasma actuators, Journal of Fluid Mechanics 844, pp. 1-11, 2019. Benard N., Audier P., Moreau E., Mizuno A., “Active plasma grid for on-demand airflow mixing increase “, J. of Electrostatics, Vol. 88, pp. 15-23, 2017. Benard N., Sujar-Garrido P., Bonnet J.P., and Moreau E., Control of the coherent structure dynamics downstream of a backward facing step by DBD plasma actuator’, International Journal of Heat and Fluid Flow vol. 61, 158–173, 2016. Moreau E., Debien A., Benard N., Zouzou N., “Nanosecond pulsed dielectric barrier discharge plasma actuator for airflow control along a NACA0015 airfoil at high Reynolds number”, IEEE Transactions on Plasma Science, Vol. 44, pp. 2803-2811, 2016. Benard N., Pons-Prats J., Periaux J., Bugeda G., Braud P., Bonnet J.P., and Moreau E., Turbulent separated shear flow control by surface plasma actuator: experimental optimization by genetic algorithm approach, Experiments in Fluids, vol. 57(22), 1-18, 2016. Audier P, Benard N., Moreau E., “Flow control of an elongated jet in cross-flow: Film cooling effectiveness enhancement using surface dielectric barrier discharge plasma actuator”, Applied Physics Letters, Vol. 108(8), pp. 1-4, 2016. Benard, N., Cattafesta, L.N., Moreau, E., Griffin, J., and Bonnet, J.P., On the Benefits of Hysteresis Effects for Closed-Loop Separation Control Using Plasma Actuation, Physics of Fluids, Vol. 23, pp. 083601, 2011.Collaborations et projets :
Projets européens (PLASMAERO, MARS, DRAGY), projets ANR et ASTRID, collaborations scientifiques (ONERA, TU Darmstadt, Nottingham University, TU Delft, Florida State University, CIMNE, Toyoashi University, Politechnico di Milano, Karlsruher Institut für Technologie)Contexte :
A l’instar des moteurs ioniques dans le domaine du spatial, nous étudions depuis quelques années la possibilité de propulser des aéronefs atmosphériques de type drones à l’aide du vent ionique généré par des décharges couronnes et des décharges à barrière diélectrique. Dans ce cas, la propulsion est totalement électrique puisque l’énergie initiale est électrique et les phénomènes physiques qui sont à l’origine de la poussée le sont aussi. Depuis peu, cette thématique suscite un regain d’intérêt suite à l’exploit d’une équipe du MIT qui a réussi à faire voler un drone avec ce type de propulsion. Les résultats de ces travaux ont d’ailleurs été publiés dans la revue Nature en novembre 2018 [Xu 2018].
Les recherches au sein de notre équipe sont actuellement soutenues par un projet ANR Astrid intitulé « PROPULS-ION » coordonné par Eric MOREAU, dans lequel nous étudions principalement l’efficacité des propulseurs plasmas en conditions d’altitude (pression, température). De plus, un de nos objectifs est de mettre ou point des sources plasmas qui permettent d’améliorer l’efficacité des propulseurs plasmas, limitée actuellement à environ 5 N par kW électrique consommée par centimètre de gap inter-électrodes, cette efficacité augmentant quasi-proportionnellement avec le gap.
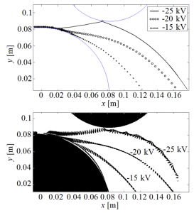
Visualisation iCCD des streamers d'une décharge couronne pointe-plaque DC positive. |
Visualisation par PIV du vent ionique produit par une couronne DC. |
Visualisation par strioscopie du vent ionique produit par une couronne DC. |
Publications :
Moreau E, Audier P, Orriere T, Benard N, “Electrohydrodynamic gas flow in a positive corona discharge”, Journal of Applied Physics, Vol. 13 (13), 2019.
Orrière T, Moreau É, Pai DZ. Electric wind generation by nanosecond repetitively pulsed microplasmas. Journal of Physics D: Applied Physics 52(46):464002, 2019.
Moreau E., Audier P., Benard N., “Ionic wind produced by positive and negative corona discharges in air”, Journal of Electrostatics, Vol. 93, pp. 85-96, 2018.
Moreau E., Benard N., Alicalapa F., Douyère A., “Electrohydrodynamic force produced by a corona discharge between a wire active electrode and several cylinder electrodes – Application to electric propulsion”, Journal of Electrostatics, Vol. 76, pp. 194-200, 2015.
Moreau E., Benard N., Lan-Sun-Luk J.D., and Chabriat J.P. “Electrohydrodynamic force produced by a wire-to-cylinder dc corona discharge in air at atmospheric pressure”, J Phys D: Applied Physics, Vol. 47, 475204, 2013.
Contexte :
La principale ambition de cette activité est d’accroitre la compréhension des transferts d’énergie et d’espèces aux sein des interfaces plasma-liquides. Plusieurs types de réacteurs sont étudiés comme les configurations pointe-liquide, plaque-liquide, les jets plasma d’argon, des décharges à barrière diélectrique immergées et des brouillards en interaction avec une décharge. Ces réacteurs sont alimentés par plusieurs formes d’ondes : continues, alternatives ou pulsées. Nous étudions les phénomènes à l’interface plasma-liquide, en développant de nouveaux diagnostics, et nous utilisons la visualisation Schlieren et la vélocimétrie par imagerie de particules lorsque nous nous intéressons aux transferts au sein des fluides. Les applications ciblées sont liées aux domaines de la biologie et de la chimie, et les travaux sont menés en étroite collaboration avec des spécialistes de l’application.
|
|
Jet plasma traitant une solution aqueuse étudié par un système de microscopie doté d'un éclairage coaxial. |
|
Publications :
Orriere, T., Kurniawan, D., Chang, Y.C., Pai, D.Z. and Chiang, W.H., 2020. Effect of plasma polarity on the synthesis of graphene quantum dots by atmospheric-pressure microplasmas. Nanotechnology, 31(48), p.485001.
Collaborations et projets :
IC2MP (Université de Poitiers), Xlim (Université de Limoges), NTUST
Axe Electrisation et électrohydrodynamique
Intervenants : P. LEBLANC, C. LOUSTE, T. PAILLAT, G. TOUCHARD
Contexte :
À l’interface entre un solide et un liquide des phénomènes physicochimiques, encore assez mal identifiés, conduisent à polariser l’interface solide-liquide et à la formation de la Double Couche Electrique (DCE). L’état d’équilibre électrique statique de l’interface peut être perturbé par l’écoulement du liquide vers un état d’équilibre dynamique.
Pour des conduites et/ou des réservoirs isolants ou conducteurs isolés, le transport des charges électriques peut générer des accumulations de charge très importantes. La rupture diélectrique du milieu peut être atteinte et conduire à des décharges électrostatiques, potentiellement dangereuses en milieu inflammable : Risque Electrostatique (ES).
Objectifs :
- Comprendre la physique de la double couche électrique (genèse, équilibre électrique, distribution des charges) et étudier le phénomène d’électrisation par écoulement mais également d'autres phénomènes associés comme électro-osmose.
- Analyser et proposer des expertises des risques électrostatiques dans les contextes industriels.
- Apporter des solutions aux risques électrostatiques dans le contexte industriel
- Expertiser les propriétés électriques et électrostatiques des matériaux liquides (plate-forme expérimentale : Systèmes et produits industriels : propriétés diélectriques et électrostatiques des matériaux).
L’approche est théorique, expérimentale et numérique.
Contexte :
La principale ambition de cette activité est d’accroître la compréhension de la double couche électrique (genèse, distribution des charges au sein du liquide et du solide, études paramétriques) et de son transport par écoulement qu’il soit laminaire, turbulent ou encore dysphasique. Cette activité s’appuie sur des bancs expérimentaux originaux qui focalisent l’étude soit sur le solide (conducteur ou diélectrique) avec par exemple le dispositif « Petite boucle » ou sur le liquide avec les bancs « Electro-ECT » et « Electro-Flow »
La petite boucle
Schéma de principe du capteur capacitif. |
Hypothèse de déplacement des charges électriques à l’interface. |
Relevé expérimental des courants en fonction du temps sur le capteur dans sa configuration historique. |
Electro-ECT
Schéma de principe du dispositif Electro ECT. |
Mesure de la charge du liquide de la DCE transporté par un écoulement laminaire en fonction du temps de contact solide/liquide. |
Influence du fortement pariétale sur la dynamique de développement de la DCE. |
Electro-Flow
Schéma de principe du dispositif Electro-Flow. |
Relève de courant pour différentes vitesse d'écoulement. |
Eude de l'influence de la charge amont sur l'équilibre de la DCE. |
Ces études permettent :
- de décrire les paramètres de la DCE de l’interface solide/liquide considérés : densité volumique de charge à la paroi, potentiel zeta, dynamique de développement de la DCE.
- d’établir la genèse de formation des charges de la DCE.
- d’établir les équilibres électriques régnant à l’interface solide/liquide à l’équilibre ou hors équilibre.
- d’étudier l’influence de différents paramètres conductivité électrique, température, régime d’écoulement, champs électriques externe DC et AC…
- de mesurer la distribution des charges électrique longitudinale par sonde capacitive en translation.
Publications :
W. Mastouri, L. Pichon, S. Martemianov, T. Paillat, A. Thomas, " Effect of immersion time on electrochemical behavior of the stainless steel AISI 304 - 0.01 M chloride solution interface", J. Electrochem. Sci. Eng., Vol 9, pp. 99-111, 2019.
P Leblanc, T. Paillat, J. M. Cabaleiro, G. Touchard, "Flow electrification investigation under the effect of the flow parameters ", International Journal of Plasma Environmental Science & Technology, Vol 11, page 156-160, 2018.
J. M. Cabaleiro, T. Paillat, G Artana, G. Touchard " Flow Electrification of Liquids in Rectangular Channels—Comparison of Different Theoretical Models", IEEE Transactions on Industry Applications, Vol. 53, Issue 6, pp. 5831 - 5837, 2017.
P. Leblanc, J. M. Cabaleiro, T. Paillat, G. Touchard, "Impact of the laminar flow on the electrical double layer development ", Journal of electrostatic, Vol 88, pp. 76-80, 2017.
P. D. S. Clermont, T. Paillat, Y. Duval, J. Rivenc, G. Peres," Flow Electrification of an Electrically Charged Liquid ", International Journal of Plasma Environmental Science & Technology. Vol. 10, Issue 2, pp. 125-130, 2016.
P. Leblanc, G. Morin, T. Paillat, C. Perrier, " Behaviour of the Charge Accumulation at the Pressboard/Oil Interface under DC External Electric Field Stress", IEEE Transactions on Dielectrics and Electrical Insulation, Vol. 22, Issue 5, pp. 2537-2542, 2015.
T. Paillat, G. Morin, G. Touchard, Y. Bertrand, O. Moreau, and A. Tanguy, « Electrostatic hazard in high power transformers : Analyse of the ten years of the capacitive sensor », IEEE Transactions on Industry Applications, 49, 2013.
P. Leblanc, T. Paillat, G. Morin, C. Perrier, « Behavior of the Charge Accumulation at the Pressboard/Oil Interface under DC External Electric Field Stress », IEEE Transactions on Dielectrics and Electrical Insulation, Issue 5, vol. 22, p.2537-2542 – ISSN 1070-9878, 2015.
Contexte :
L’objectif principal de cette activité est de mettre en place une métrologie alternative non-intrusive d’une résolution de l’ordre du micromètre et d’une sensibilité de quelques milli coulomb afin d’étudier les interfaces solide/liquide incluant des liquides conducteurs (électrolytes). Ces niveaux de performance correspondent aux amplitudes et distributions spatiales théoriquement calculées et communément admises dans la double couche électrique (DCE) présente à toute interface solide/liquide. Les instrumentations sont basées sur un concept de stimulation inhomogène des échantillons liquides par stimulus acoustique ou thermique. L’excitation visera à perturber légèrement et de manière réversible l'équilibre électrostatique de la DCE, donnant lieu à des réponses électriques portant des informations sur la répartition spatiale des charges électriques, accessibles par une méthode de déconvolution. Des récents travaux exploratoires initiés lors de collaborations avec le Laboratoire de Physique et d’Étude des Matériaux de Paris (méthode acoustique) et l’Institut d'Electronique du Sud à Montpellier (méthode thermique) ont démontré la faisabilité de ce principe dans le champ des interfaces solide/liquide.
Cellule de mesure MOT |
Réponse électrique de la DCE suite à un stimuli thermique (MOT) : influence de l’excitation. |
Réponse électrique de la DCE suite à un stimuli thermique (MOT) : influence de la nature chimique de l’interface (modification de la conductivité du liquide par ajout d’additif). |
Cellule de mesure PWT |
Mesure de courant en lien avec la DCE pour une interface metalique/glycérole et eau établi par méthode électro-acoustique |
Publications :
A. Ndour, S. Holé, P. Leblanc, P. Paillat, "Direct observation of electric charges at solid/liquid interfaces with the pressure-wave-propagation method", Journal of Electrostatics, vol. 109, 2021.
X. Sidambarompoulé, P. Notingher, J.C. Laurentie, T. Paillat, P. Leblanc, "Thermal Stimulus Method applied to Insulating Liquids: Numerical Analysis and Discussion of the Thermal Convection Effects", Journal of Electrostatics, 2021.
Contexte :
L'objectif de cette activité est de développer outil numérique permettant de simuler l'ensemble des échanges physicochimiques se produisant aux interfaces solide/liquide. Mieux comprendre les aspects fondamentaux des échanges aux interfaces en utilisant cet outil comme un véritable appui à la compréhension des différents modèles cinétiques et résultats expérimentaux est essentiel pour faire avancer la compréhension sur la DCE. Il constitue également un outil permettant de mieux définir le dimensionnement des nouvelles métrologies expérimentales. En effet, une fois validé, la simulation numérique permet de mieux prendre en compte les effets d’échelles dans les futurs expérimentations.
Pour ce faire, les équations décrivant le phénomène de DCE ont donc été implantées dans un code de calcul développé par EDF et nommé « Code-Saturne ». Ce code permet de résoudre les équations de Navier-Stockes pour des écoulements 2D ou 3D. Le module principal est dédié à la simulation d’écoulement incompressible ou compressible, stationnaire ou instationnaire, laminaire ou turbulent, isotherme ou non. Ce code donne la possibilité de coupler plusieurs phénomènes physiques ensemble (combustion gaz, rayonnement, ...). Une option nommée « conduction ionique » a donc été codée et intégrée au module électrique.
Ces travaux s’appuient sur :
- Les équations générales de transport des charges par diffusion migration et convection;
- Les équations générales du génie électrique (loi de conservation, équation de poisson);
- Des termes source de production des charges à l’interface solide/liquide (hypothèse de corrosion, adsorption, désorption);
- Les équations générales de conservation des espèces chimiques.
|
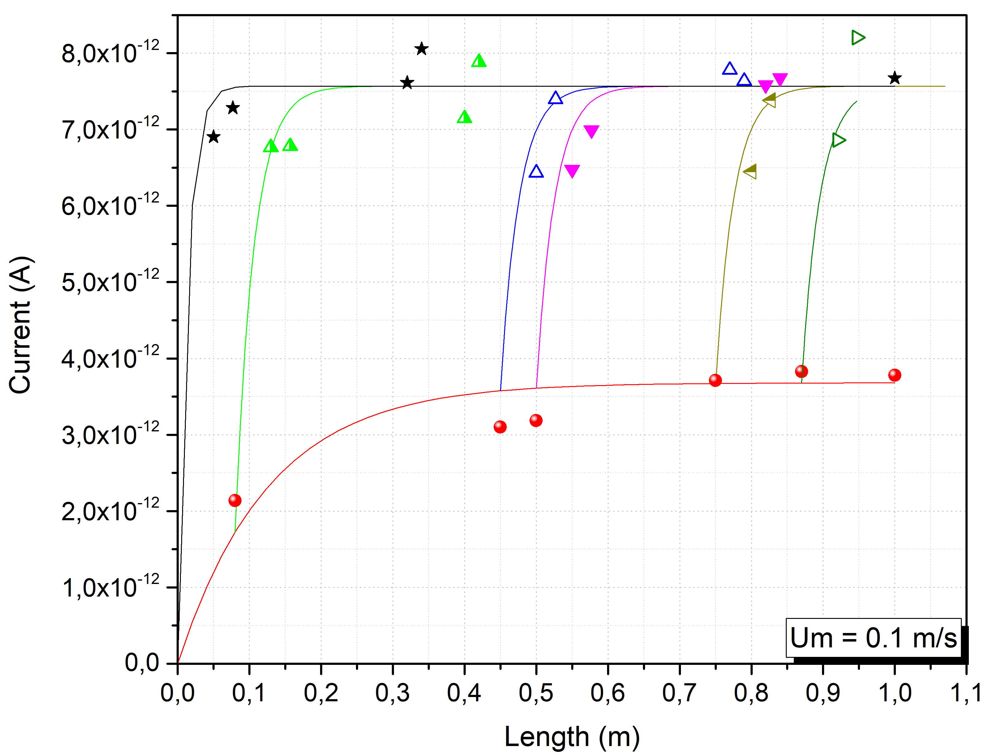
Transport de charge du liquide d’une DCE huile/carton établi par un écoulement de 0.1 m.s-1. |
Evolution du potentiel électrique le long de l’interface de charge à différent instant de l’écoulement– Um = 0.1m.s−1. |
Publications :
P.D.S Clermont, T. Paillat, P. Leblanc, « Numerical study on the impact of a temperature step on the electrical double layer », Journal of Electrostatics, vol. 95, pp. 13-23, DOI : 10.1016/j.elstat.2018.07.006, 2018.
P. Leblanc, T. Paillat, J.M. Cabaleiro, G. Touchard, « Impact of the laminar flow on the electrical double layer development », Journal of Electrostatics, 2017.
P. Leblanc, J.M. Cabaleiro, T. Paillat, « Numerical study of electrical double layer development : Analysis of the charge genesis », proc IOP Electrostratics, Southampton, Angleterre, 12-16 Avril 2015.
M. Eladawy, « Etude du phénomène d’électrisation par écoulement : Compréhension de l’origine et du développement du phénomène », PhD thesis, Université de Poitiers, 2011.
J.M Cabaleiro, « Etude du d´développement de la double couche électrique lors de la mise en écoulement d’un liquide diélectrique dans une conduite isolante », PhD thesis, Université de Poitiers, 2007.
Axe Electrofluidique des électrolytes et systèmes de stockage d’énergie
Intervenants : A. THOMAS*, S. MARTEMIANOV, P. LAGONOTTE, C. LOUSTE (anthony.thomas@univ-poitiers.fr)
Contexte : L’axe thématique « Electrofluidique des électrolytes et systèmes de stockage d’énergie » s’intéresse à la conversion et du stockage de l’énergie électrique en énergie chimique et inversement. Nous étudions l’ensemble des phénomènes liés au passage du courant électrique au sein des électrolytes (interface solide/liquide). Au niveau fondamental nous étudions les transferts couplés (masse, chaleur, charges électriques) aux interfaces sous influence de l’hydrodynamique. L’étude des différents transferts se fait aussi bien à l’échelle de l’électrode qu’à l’échelle du système (Figure 2).

Les applications concernent les sources électrochimiques d’énergie à savoir les piles à combustible, les batteries Li-ion et les électrolyseurs. Notre approche est à la fois expérimentale, avec le développement de métrologies innovantes (diagnostic par la mesure des bruits internes des systèmes et développement de capteurs spécifiques) mais aussi appuyée par une forte compétence de modélisation multi physique et d’analyse fine des signaux stochastiques.
Différentes collaborations nationales avec l’IC2MP (Poitiers), LISE UPR15 (Paris), ICMMO (Orsay), LEMTA (Nancy), GREMI (Orléans) et avec des industriels DCNS (St.-Tropez), CEA (Le Ripault - Grenoble), NEXEYA (Angoulême), SAFT (Poitiers) sont présentes au sein de la thématique. Concernant l’international nous avons plusieurs thèses en cotutelle et projets scientifiques communs avec la Russie, l’Algérie et l’Espagne.
Deux ANR récentes : ANR Innoxicat (Développement de catalyseurs non platinoïdes) 2020- 2024 & ANR Propice 2013-2016 (Diagnostics des stacks piles à combustible).
Axe Electrostatique et écoulements diphasiques
Intervenants : N ZOUZOU*, L. DASCALESCU (noureddine.zouzou@univ-poitiers.fr)
Contexte :
Cet axe thématique s’intéresse à l’étude des phénomènes physiques associés aux mouvements de particules chargées ou polarisées dans un fluide en présence d’un champ électrique. Cela concerne la précipitation électrostatique à l’échelle des particules nanométriques jusqu’à la séparation électrostatique de granules à l’échelle millimétrique, en passant par la manipulation électrostatique des matériaux pulvérulents à l’échelle du micromètre. Deux objectifs majeurs structurent les travaux de recherche :
- La compréhension des mécanismes de transfert de charges électriques aux interfaces solide/solide et solide/gaz ;
- L’exploitation des forces électrostatiques pour développer des procédés industriels originaux impliquant la manipulation de particules.
L’approche des investigations est principalement expérimentale, mais elle est soutenue par une activité croissante de modélisation numérique et analytique.
Trajectoires de particules dans le champ créé par les ondes de potentiel produites par un dispositif de type « rideau électrique » |
Séparateur tribo-aéro-électrostatique de type à disques tournants pour déchets plastiques micronisés. |
Contexte :
L’objectif principal de cette action est de mener des recherches fondamentales sur la compréhension des phénomènes tribo-électrostatiques et la maitrise des processus de charge et de neutralisation des particules à travers le développement de nouveaux outils expérimentaux et modèles théoriques. A titre d’exemple, deux nouveaux bancs expérimentaux ont été développés respectivement en partenariat avec le groupe St Gobain et la société charentaise CITF, afin de mieux comprendre les mécanismes de génération de charge par effet tribo-électrique, en lien avec la cinématique des corps en contact, leur état de surface et les conditions atmosphériques. Les études réalisées ont permis de montrer que la fonctionnalisation des surfaces rend possible la maîtrise du processus triboélectrique, soit pour réduire les risques électrostatiques lors du transport pneumatique, soit pour augmenter la charge des matériaux granulaires, pré-exposés à des décharges à barrière diélectrique, en vue de leur séparation par un champ électrique intense.
Modification des caractéristiques de tribocharge des déchets plastiques granulaires par exposition aux décharges à barrière diélectrique, en vue de la séparation électrostatique. |
Montage expérimental pour l'étude de l'exposition aux décharges à barrière diélectrique dynamique (DBD) des plastiques granulaires, avant tribocharge en vue de la séparation électrostatique. |
Photographie du dispositif expérimental permettant l’étude du chargement tribo-électrique d'une bille de verre en interaction avec des matériaux polymères : (1) enceinte régulée en humidité (2) caméra rapide (3) source d’éclairage (4) électromètres (collaboration PPRIME / SAINT-GOBAIN). |
Publications :
KACHI M., DASCALESCU L., Corona-discharge-based neutralization of charged granular insulating materials in contact with an electrode of opposite polarity, JOURNAL OF ELECTROSTATICS, vol. 76, pp. 246-253, DOI : 10.1016/j.elstat.2015.06.006, 2015.
FATIHOU A., DASCALESCU L., ZOUZOU N., NEAGOE B., REGUIG A., DUMITRAN L. M., Measurement of Surface Potential of Non-uniformly Charged Insulating Materials Using a Non-contact Electrostatic Voltmeter, IEEE TRANSACTIONS ON INDUSTRY APPLICATIONS , vol. 23, pp. 2377-2384, DOI : 10.1109/TDEI.2016.7556516, 2016.
NADJEM A., KACHI M., BEKKARA F., MEDLES K., ZEGHLOUL T., DASCALESCU L., Triboelectrification of granular insulating materials as affected by dielectric barrier discharge (DBD) treatment, JOURNAL OF ELECTROSTATICS, vol. 86, pp. 18-23, DOI : 10.1016/j.elstat.2016.12.017, 2017.
PRAWATYA Y., NEAGOE B., ZEGHLOUL T., DASCALESCU L., Surface-Electric-Potential Characteristics of Tribo- and Corona-Charged Polymers: A Comparative Study, IEEE TRANSACTIONS ON INDUSTRY APPLICATIONS, vol. 53, pp. 2423-2431, DOI : 10.1109/TIA.2017.2650145, 2017.
MOUSSAOUI A., KACHI M., ZOUAGHI A., ZOUZOU N., Neutralization of charged dielectric materials using a dielectric barrier discharge, JOURNAL OF ELECTROSTATICS, vol. 87, pp. 102-109, DOI : 10.1016/j.elstat.2017.04.005, 2017.
BEKKARA F., DASCALESCU L., BENMIMOUN Y., ZEGHLOUL T., TILMATINE A., ZOUZOU N., Modification of surface characteristic and tribo-electric properties of polymers by DBD plasma in atmospheric air, EUROPEAN PHYSICAL JOURNAL-APPLIED PHYSICS, vol. 81, pp. 10801--, DOI : 10.1051/epjap/2017170149 , 2018.
TEODORESCU H. N., PRAWATYA Y., ZEGHLOUL T., DASCALESCU L., Anisotropy of the triboelectric effects in polymeric slabs, TRIBOLOGY INTERNATIONAL, vol. 136, pp. 496-507, DOI : 10.1016/j.triboint.2019.04.014, 2019.
ACHOURI I. E. , ZEGHLOUL T., MEDLES K., RICHARD G., DASCALESCU L., Factors Influencing the Triboelectric Charging of Granular Plastics in a Rotating-cylinder-type Tribocharger, IOP CONFERENCES SERIES : MATERIALS SCIENCE AND ENGINEERING, vol. 724, pp. 012048--, DOI : 10.1088/1757-899X/724/1/012048, 2020.
LESPRIT U., PAILLAT T., ZOUZOU N., PAQUIER A., YONGER M., Triboelectric charging of a glass bead impacting against polymers: Influence of mechanical properties, JOURNAL OF ELECTROSTATICS, vol. 107, no. 103474, pp. 1-9, DOI: 10.1016/j.elstat.2020.103474, 2020.
BENABDERRAHMANE A., ZEGHLOUL T., MEDLES K., TILMATINE A., DASCALESCU L., Triboelectric Charging of Granular Polymers Previously Exposed to Dielectric Barrier Discharges in Atmospheric Air, IEEE TRANSACTIONS ON INDUSTRY APPLICATIONS, vol. 56, no. 3, pp. 3061-3067, May-June 2020, doi: 10.1109/TIA.2020.2976788
Collaborations et projets :
Projets internationaux : PHC-TASSILI : 36 mois, Université de Sidi-Bel-Abbes, Algérie.
Saint Gobain : 12 mois, Etude des phénomènes électrostatiques susceptibles d'être à l'origine de l'attraction entre miroirs filmés.
Saint Gobain : 12 mois, Etude des propriétés électrostatiques des matériaux de laine de verre.
APR2 : 1 mois : Support scientifique et technique pour un dispositif de charge triboélectrique.
CITF : 36 mois, Chargeur triboélectrique pour matériaux plastiques granulaires. Prototype développé avec la société CITF pour équiper les séparateurs tribo-électrostatiques des mélanges de polymères provenant des déchets industriels.
Contexte :
Les activités de recherche de cette action visent l’étude et développement de procédés électrostatiques originaux impliquant la manipulation de particules par champ électrique afin de répondre aux enjeux environnement et sociétaux du futur.
Un système d’électrodes couronne innovant a été développé récemment afin de charger par diffusion des particules (taille < µm) et de les collecter dans un électrofiltre pour l’industrie agroalimentaire (partenariat INRA). En s’appuyant sur les résultats de modélisations numériques, d’autres études sont menées sur les modes d’interaction des particules (µm-mm) avec des ondes de potentiel électrique crées par des rideaux électriques, dans le but de briser les verrous technologiques dans le domaine du dépoussiérage de panneaux photovoltaïques et du tri électrostatique. Enfin, une métrologie optique rapide est utilisée afin de visualiser les trajectoires de particules conductrices et isolantes (~mm) dans des champs électriques intenses (projet « Electrinov » - FEDER/CPER).
Des partenariats industriels forts avec les sociétés CITF (deux thèses CIFRE), constructeur de machines spéciales, et APR2, spécialiste du recyclage, soutiennent le développement d’une gamme large de chargeurs triboélectriques (à cylindre tournant, à lit fluidisé, à vibration) et de séparateurs électrostatiques (à tambour, à bande métallique, à deux électrodes disques) pour le traitement des déchets d’équipements électriques et électroniques. Un brevet d’invention déposé avec le soutien de la SATT Centre, puis d’Aliénor Transfert vise à permettre aussi la séparation électrostatique des matériaux provenant des batteries électriques usées. A travers une collaboration forte, le groupe Saint-Gobain a désigné l’équipe comme le laboratoire de référence de leurs problématiques électrostatiques.
(a) Représentation schématique du chargeur d’un électrofiltre à deux étages de type triode et (b) évolution de l’efficacité fractionnelle de collecte en fonction de la taille des particules pour plusieurs tensions appliquées (collaboration PPRIME / INRA). |
Trajectoires des particules obtenues par la technique de PTV pendant la phase d’accélération sur : (a) un actionneur à ondes stationnaires et (b) un actionneur à ondes progressives. |
Trajectoires calculées et expérimentales de particules isolantes (diamètre équivalent : 2 mm), en fonction de la haute tension, dans un séparateur électrostatique multifonctionnel pour matériaux granulaires. |
Montage expérimental composé d'un dispositif de tribochargement multicylindre, conçu par PPRIME pour la société CITF, et d'un séparateur électrostatique de type rouleau rotatif (PRODECOLOGIA, Ukraine). |
Séparateurs tribo-aéro-électrostatiques industriels et pilotes pour le recyclage des matières plastiques des déchets granulaires d'équipements électriques et électroniques, conçus pour la société APR2. Brevet FR2943561 (2009), WO2010109096 (2010) |
Filtre combiné « Electrofiltre + Cyclone » pour la captation de fumées industrielles, optimisé par l’institut Pprime pour l’entreprise Labonne. |
Publications :
MILOUDI M., DASCALESCU L., LI J., Improved Overall Performances of a Tribo-Aero-Electrostatic Separator for Granular Plastics From Waste Electric and Electronic Equipment, IEEE TRANSACTIONS ON INDUSTRY APPLICATIONS, vol. 51, pp. 4159-4165, DOI : 10.1109/TIA.2015.2429111, 2015.
KHERBOUCHE N., BENMIMOUN Y., TILMATINE A., ZOUAGHI A., ZOUZOU N., Study of a new electrostatic precipitator with asymmetrical wire-to-cylinder configuration for cement particles collection, JOURNAL OF ELECTROSTATICS, vol. 83, pp. 7-15, DOI : 10.1016/j.elstat.2016.07.001, 2016.
FATIHOU A., ZOUZOU N., DASCALESCU L., Particle Collection Efficiency of Polypropylene Nonwoven Filter Media Charged by Triode Corona Discharge, IEEE TRANSACTIONS ON INDUSTRY APPLICATIONS, vol. 53, pp. 3970-3976, DOI : 10.1109/TIA.2017.2678979, 2017.
RICHARD G., SALAMA A., MEDLES K., ZEGHLOUL T., DASCALESCU L., Comparative study of three high-voltage electrode configurations for the electrostatic separation of Aluminum, Copper and PVC from granular WEEE, JOURNAL OF ELECTROSTATICS, vol. 88, pp. 29-34, DOI : 10.1016/j.elstat.2016.12.022, 2017.
REGUIG A., BENDAOUD A., TILMATINE A., MEDLES K., DASCALESCU L., Effect of Shielded Electrodes Dimensions on Corona Charging Systems, IEEE TRANSACTIONS ON DIELECTRICS AND ELECTRICAL INSULATION, vol. 25, pp. 396-403, DOI : 10.1109/TDEI.2017.006520, 2018.
MAAMAR M., AKSA W., BOUKHOULDA M. F., TOUHAMI S., DASCALESCU L., ZEGHLOUL T., Modeling and simulation of nonconductive particles trajectories in a multifunctional electrostatic separator, IEEE TRANSACTIONS ON INDUSTRY APPLICATIONS, vol. 55, pp. 5244-5252, DOI : 10.1109/TIA.2019.2920805, 2019.
ZOUZOU N., MAYER-LAIGLE C., ROUAU X., ZOUAGHI A., KHERBOUCHE N., DASCALESCU L., Study of Two-Stage-Type Electrostatic Precipitator in Axisymmetric Configuration Applied to Finely Ground Lignocellulosic Materials, IEEE TRANSACTIONS ON INDUSTRY APPLICATIONS , vol. 55, pp. 3114-3121, DOI : 10.1109/TIA.2018.2885964, 2019.
ZOUAGHI A., ZOUZOU N., BRAUD P., Study of dielectric particles motion in traveling and standing electrostatic waves using Particle Tracking Velocimetry, JOURNAL OF PHYSICS D-APPLIED PHYSICS, vol. 53, pp. 1-12, DOI : 10.1088/1361-6463/ab93f6, 2020.
LOUATI H., TILMATINE A., OUIDDIR R., ALIBIDA A., ZOUZOU N., New separation technique of metal/polymer granular materials using an electrostatic sorting device, JOURNAL OF ELECTROSTATICS, vol. 103, pp. 103410--, DOI : 10.1016/j.elstat.2019.103410, 2020.
BENABDERRAHMANE A., MEDLES K, ZEGHLOUL T., RENOUX P., DASCALESCU L., PARENTY A., Triboelectric charging and electrostatic separation of granular polymers containing brominated flame retardants, IEEE TRANSACTIONS ON INDUSTRY APPLICATIONS, vol. 57, pp. 915-922, 2021, DOI: 10.1109/TIA.2020.3031579.
Collaborations et projets :
Projets internationaux : IRD: 24 mois, University of Assiut (Egypt).
CITF : 6 mois, Support scientifique et technique pour un dispositif de charge triboélectrique.
Labonne : 10 mois, Conseils technique à l'amélioration fonctionnelle de l'étage électrofiltre d'un séparateur hybride.
INRA : 24 mois, Supports techniques à la conception d'un précipitateur électrostatique de particules sous-micrométriques.
APR2 : 36 mois, Nouveau procédé de séparation tribo-aéro-électrostatique.
CITF : 36 mois, Séparation électrostatiques des mélanges de matériaux granulaires.
Michelin : 9 mois, Recherche et développement du modèle de laboratoire d’un nouveau séparateur électrostatique pour la récupération des fibres de PET des pneumatiques en fin de vie.
Environment Recycling : 12 mois, Etude de faisabilité de la séparation tribo-aéro-électrostatique des plastiques bromés contenus dans les mélanges granulaires provenant de déchets d’équipements électriques et électroniques.





