Ecoulement à bulles dans un caloduc oscillant en impesanteur pendant un vol parabolique (ESA, Novespace)
Contrôle d'écoulement par action thermique
Champ instantané de température d'un jet chauffé
Convection naturelle - Couplage PIV / thermocouples
Champ instantané de critère Q, pour un écoulement débouchant dans un écoulement transverse
Chercheurs et enseignants-chercheurs
Activités de recherche
Les objectifs scientifiques de l’équipe sont principalement tournés vers la caractérisation et l’intensification des transferts thermiques impliquant des écoulements monophasiques à travers l’étude de la convection et du rayonnement ou des écoulements diphasiques liquide/vapeur. Ce travail se fait suivant deux approches complémentaires : une approche fondamentale qui passe par une meilleure compréhension des phénomènes physiques locaux et une approche systémique appliquée dont l’objectif est de répondre à la fois aux besoins de nos partenaires industriels et aux enjeux sociétaux actuels pour une plus grande sobriété énergétique.
Les recherches sur les transferts de chaleur sont menées dans l’équipe COST pour des applications allant : de la convection naturelle à la convection forcée en conditions extrêmes, en tenant compte ou non des aspects radiatifs ; de l’étude locale des phénomènes de condensation et d’évaporation à leur mise en œuvre et analyse dans des systèmes diphasiques complexes (caloducs, boucles diphasiques, caloducs oscillants…). Les approches utilisées sont à la fois expérimentales, théoriques et numériques. Des aspects liés à l’optimisation, à la réduction de modèles pour l’estimation et le contrôle de systèmes thermiques et à la caractérisation de propriétés thermophysiques viennent appuyer ou compléter l’ensemble des études menées, apportant un caractère transversal fort au sein de l’équipe COST.
Convection et Rayonnement
Permantents : Yann Billaud, Dominique Couton, Eva Dorignac, Matthieu Fenot, Manuel Girault, Gildas Lalizel, Denis Lemonnier, Florian Moreau, Frédéric Plourde, Didier Saury, Etienne Videcoq
- Dynamique et thermique des jets débouchant et en impact
- Ecoulements et systèmes tournants
- Echangeurs thermiques monophasique ou diphasique
- Convection et contrôle
- Transferts et écoulements en présence de force de flottabilité prépondérante
- Rayonnement et convection naturelle
- Mélange turbulent anisotherme
- Caractérisation des couplages aéro-thermo-mécanique
- Convection forcée
Participants : D Couton, E Dorignac, M Fénot, G Lalizel, F Plourdes
Partenaires : Airbus, Cerfacs, IMFT, LAMIH, LASIE, ONERA, SAFRAN
Les études sur les jets visent principalement à caractériser et comprendre la dynamique de ces écoulements afin de pouvoir contrôler les transferts de chaleur qui leur sont liés. Si les études sont principalement expérimentales, des études numériques ont également été menées soit au sein de l’équipe soit en collaboration avec d’autres établissements de recherche (ONERA, Cerfacs). Deux grands types de configuration ont plus spécifiquement fait l’objet d’études : les jets en impact et les jets débouchant dans un écoulement cisaillant.
Dans le cadre des jets en impact, les études ont mis en lumière l’importance sur les transferts de chaleur des tourbillons de Kelvin-Helmholtz de la couche de cisaillement mais également des effets de compressibilité et des conditions aux limites thermiques. En se basant sur ces études, des travaux visant à contrôler cette couche de cisaillement par l’intermédiaire de la buse d’injection ont permis de notablement améliorer les transferts (en lien avec le LAMIH de valenciennes, l’IMFT de Toulouse et LASIE de la Rochelle).
|
|
|
|
|
|
|
Dans le cadre des jets débouchant également des tentatives de contrôle des jets et des transferts ont été menées, soit par l’intermédiaire d’actionneurs plasma en collaboration avec l’équipe EFD de P’, soit dans le cadre de jets synthétiques en paroi.
|
|
|
Les connaissances acquises ont pu être appliquées dans le cadre de collaborations industrielles en particulier dans le domaine aéronautique avec SAFRAN ou AIRBUS.
|
|
|
L’interaction entre un jet débouchant et un écoulement transverse, JICF, produit un écoulement tridimensionnel complexe et instable comprenant un ensemble de structures cohérentes dépendantes les unes des autres, dont les tourbillons contra-rotatifs (CRVP) qui sont importants puisqu’ils sont responsables du mélange intense entre le fluide de l’écoulement débouchant et celui de l’écoulement transverse. Son développement a ainsi un effet néfaste sur la protection thermique de la paroi. Des études précédentes ont montré qu’il est possible d’augmenter l’efficacité de refroidissement en pulsant l’écoulement injecté à des fréquences naturelles de développement des instabilités de couche de mélange. (Sultan, 2011) (Sultan et al., 2017) (Sultan et al., 2011) (Lalizel et al., 2012).
Une autre approche, pour améliorer l’efficacité de refroidissement, est d’optimiser la forme (Boust et al., 2009) ou la disposition des trous des parois multi-perforées. Des résultats récents ont montré que le développement spatial du CRVP pouvait être "annihilé" en positionnant deux jets débouchant de dimension plus petite en amont du développement du CRVP du jet débouchant principal.
Une étude expérimentale sur le banc BATH est en cours pour déterminer une géométrie d’agencement de trous pour optimiser l’efficacité de refroidissement du film-cooling pour différents taux de soufflage M en diminuant l’impact des CRVP sur le mélange entre les deux fluides chauds et froids. Dans le cadre de cette étude une mesure de température dans le fluide par phosphorescence du ZnO est développée et mise en place sur le banc d’essai BATH. L’oxyde de Zinc (ZnO) se présente sous la forme de particules de 2 microns de diamètres qui ensemencent l’écoulement.
![]() |
|
Une autre approche, pour améliorer l’efficacité de refroidissement, est d’optimiser la forme (Boust et al., 2009) ou la disposition des trous des parois multi-perforées. Des résultats récents ont montré que le développement spatial du CRVP pouvait être "annihilé" en positionnant deux jets débouchant de dimension plus petite en amont du développement du CRVP du jet débouchant principal.
Une étude expérimentale sur le banc BATH est en cours pour déterminer une géométrie d’agencement de trous pour optimiser l’efficacité de refroidissement du film-cooling pour différents taux de soufflage M en diminuant l’impact des CRVP sur le mélange entre les deux fluides chauds et froids. Dans le cadre de cette étude une mesure de température dans le fluide par phosphorescence du ZnO est développée et mise en place sur le banc d’essai BATH. L’oxyde de Zinc (ZnO) se présente sous la forme de particules de 2 microns de diamètres qui ensemencent l’écoulement.
Participants : M Fénot, M Girault, E Videcoq
Partenaires : IFPEN, Renault
Les écoulements et systèmes tournants font l’objet de recherches aussi bien expérimentales que numériques au sein de l’équipe. Elles visent à comprendre et contrôler les transferts de chaleur liés aux écoulements tournants mais aussi ceux des systèmes en rotation avec les moteurs électriques comme principale application visée. En effet, les contraintes de température des machines électriques font de leur refroidissement le principal obstacle à l’augmentation de leur densité de puissance (en particulier dans le cadre de la propulsion électrique).
Une première série d’études aérothermiques a donc concerné les écoulements de Taylor-Couette et de Taylor-Couette-Poiseuille en présence de plusieurs géométries de rotor depuis des formes académiques (cylindres concentriques) jusqu’à la forme quasi exacte du moteur réel (encoches au rotor).
Une seconde série d’études concerne plus spécifiquement les écoulements liquides à fort nombre de Prandtl (huile) en présence d’un système tournant. Ce type d’écoulement, tout en présentant des caractéristiques très spécifiques (forte variation de viscosité avec la température, effet d’échauffement important) est particulièrement intéressant dans le cadre des moteurs électriques. En effet, l’utilisation d’un liquide diélectrique tel que l’huile permet un refroidissement direct des parties électriques fortement dissipatrices.
Deux configurations ont particulièrement été étudiées:
La première correspond à un impact de jet sur une paroi statique mais en présence d’un écoulement d’air cisaillant (pouvant être dû à la présence d’un système en rotation à proximité).
|
|
|
La seconde configuration concerne plus spécifiquement l’impact sur une paroi en rotation:
|
|
|
|
Participants : D Couton, M Fénot, F Plourde
Partenaires : IFPEN, Renault
L’intensification des transferts convectifs, l’équipe COST a poursuivi les travaux antérieurs sur les échangeurs thermiques monophasique ou diphasique (Thèses Giachetti, 2015 et Sakay, 2014). Dans un premier temps, des travaux ont été effectués sur un banc d’essais de caractérisation de géométries d’échangeurs compacts monophasiques et ont permis de caractériser de nouvelles géométries de surfaces ailetées à plaques brasées (conventions Liebherr Aerospace et Air Liquide) en proposant des corrélations thermo-fluidiques associées. Ces résultats ont été confrontés à des modélisations de type RANS ou LES servant de référence pour la validation des modèles LES. Ces travaux ont été poursuivis sur des structurations nouvelles d’ailettes obtenues par fabrication additive métallique (IRT St Exupéry, Toulouse), démontrant un optimum de transfert par rapport aux contraintes dynamiques. Le gain de performance thermique peut atteindre jusqu’à 2,5 ou 3 pour des croissances de pertes de charge limitées. Ces résultats doivent aider aux choix stratégiques de conception d’échangeurs. Dans le même état d’esprit, des travaux numériques de haute-fidélité (LES, DNS) sont effectués avec des modifications topologiques. A partir d’algorithmes d’optimisation pilotant les paramètres géométriques caractéristiques, la maximisation de fonction comme le rapport transfert de chaleur / perte de charge permet d’identifier les conditions les plus favorables. Des travaux ont été menés aussi sur les échangeurs avec l’étude de la condensation sur des substrats en aluminium préalablement traités pour produire des substrats hydrophiles ou hydrophobes (Post-Doc Sakay, 2015), et ont permis de mettre en évidence l’initiation de la condensation en micro-gouttelettes : leur développement et leur coalescence structurée, jusqu’à l’obtention d’un film liquide. L’analyse de la nature, la forme et la masse des gouttes, réalisée en parallèle des transferts couplés (convection, rayonnement, condensation), a mis en évidence une très forte dépendance du développement de la condensation en goutte vis-à-vis de la nature de la paroi avec un effet retard très important dans le cas hydrophobe. Il est à noter que les mécanismes de développement des gouttes influencent et déstructurent la couche de diffusion thermique établie en régime sans condensation, agissant comme un promoteur de turbulence et engendrant alors un gain des transferts dans la couche de diffusion. Ces travaux ont été poursuivis afin d’étudier les mécanismes de prise en glace, souvent pénalisant pour le secteur aéronautique (aéronefs, sondes….). Les études ont porté sur la nature de la prise en glace sur parois planes à température contrôlée (thèse Huynh, 2015) et ont mis en évidence la forte dépendance des phénomènes de prise en glace, variant entre givre dendritique et verglas, à la nature de la paroi, la teneur en humidité de l’air et au régime d’écoulement. En parallèle, un modèle de type VoF a été réalisé avec des conditions de développement de la couche de glace. Les résultats ont souligné le rôle déterminant de la phase de cristallisation dont les paramètres dépendent des conditions de surface.
Enfin, des travaux ont été menées portant notamment sur la condensation en conduite dans le cadre d’échangeur diphasique en partenariat avec Airbus (projet CORALIE et OPTIMA) mais aussi avec Naval Group.

Participants : Etienne Videcoq, Adel Benselama, Manuel Girault
Ces travaux s’inscrivent dans le projet CACAO (contrôle actif des écoulements de convection mixte autour d’obstacles), en collaboration avec l’équipe Curiosity de PPRIME. CACAO constitue une partie du projet COMERE (Contrôle actif des écoulements et des transferts pour de meilleurs rendements énergétiques. Réduction des nuisances sonores), porté par l’Université de Poitiers et financé par l’Union Européenne et la région Nouvelle Aquitaine à travers le FEDER 2014-2020. L’objectif au sens large est de contrôler l’écoulement autour d’obstacles à l’aide d’actionneurs thermiques, en présence de perturbations de l’écoulement amont.
Les écoulements de convection mixte autour d’un cylindre chauffé ou refroidi par rapport à l’écoulement amont constituent les principaux cas d’étude du projet CACAO.
Les principales réalisations concernent la création la soufflerie CACAO, dont la principale originalité est la possibilité d’incliner la veine graduellement entre positions verticale et horizontale.
La simulation numérique d’écoulements 2D instationnaires:
Des modèles sont développés sous OpenFOAM (volumes finis) et FlexPDE (éléments finis) pour simuler des écoulements de convection mixte instationnaires (bidimensionnels et tridimensionnels avec OpenFOAM, bidimensionnels avec FlexPDE). Un exemple de simulation OpenFOAM de l’écoulement de convection mixte autour d’un cylindre où celui-ci n’est chauffé qu’à partir de =60 s.
La formulation de modèles d’ordre réduit avec conditions aux limites variables
A partir des équations de conservation locales, une formulation de modèles d’ordre réduit, permettant de relier les entrées du système aux observables, a été développée. Un code maison parallélisé pour l’identification des modèles réduits à partir de jeux de données a également été écrit. L’emploi d’un algorithme d’optimisation par essaim de particules permet la parallélisation du code.
Participants : Yann Billaud, Denis Lemonnier, Florian Moreau, Didier Saury
Les recherches sur les transferts et écoulements en présence de force de flottabilité prépondérante concernent différentes configurations, régimes d’écoulement et prennent en compte ou non le couplage radiatif. Du point de vue expérimental, des métrologies fines ont permis l’accès à des grandeurs difficilement mesurables (flux thermiques turbulents par exemple, thèse Belleoud, 2018). Les aspects numériques ont également été développés avec l’écriture d’un code thermo-aéraulique massivement parallèle (DNS/LES) prenant en compte le rayonnement de surface et/ou de gaz (dépôt AAP du code ROCOCO, collaboration LIMSI et LASIE, Thèse Cadet, 2016), confronté à des résultats expérimentaux en cavité différentiellement chauffée à Ra = 1,2x1011 (thèse BELLEOUD, 2015). Dans cette même configuration, des études pour des régimes laminaires ont été menées pour contrôler les transferts en introduisant une perturbation pariétale localisée afin de provoquer (ou non) la bifurcation d’un régime laminaire stationnaire vers un régime laminaire instationnaire et réciproquement. Le rôle du rayonnement a également été analysé sur ce comportement. Une autre approche, plus intrusive, a consisté à introduire un obstacle cylindrique isotherme ou adiabatique et de longueur variable dans la couche limite chaude ascendante. L’interaction entre l’effet de sillage et/ou de panache induit par l’obstacle et la couche limite a alors été analysée en fonction de la position, la longueur et la nature de l’obstacle (Thèse Chorin, 2019, Collaboration Univ. Valparaiso, Chili). Enfin, une configuration de cavité fortement encombrée comportant des éléments internes chauffants est en cours d’étude pour différents régimes d’écoulement. L’objectif ici est de reproduire des environnements réalistes tels que, par exemple, une configuration « sous capot » de véhicule automobile (Thèse Weppe, ANR MONACO).
Participants : Yann Billaud, Manuel Girault, Denis Lemonnier, Florian Moreau, Didier Saury
Le rôle du rayonnement sur les panaches thermiques peut être important et conduit, la plupart du temps, à des comportements plus stables. Plusieurs travaux de thèses ont été (ou sont) réalisés à ce sujet pour différentes situations de rayonnement de paroi et de gaz : gaz gris vs gaz réel (thèse Wang, 2020), double diffusion (Thèse Nguyen). La résolution de problèmes radiatifs dans des milieux semi-transparents gazeux demeure un défi important vu la complexité du spectre du gaz et sa dépendance aux paramètres externes (composition du mélange, pression, température). Dans cet objectif, des modèles compacts de gaz réels (Spectral Line Weighted-sum-of-gray-gases, SLW) sont développés et continuellement améliorés (rank correlated SLW, SLW Exact). Cela donne notamment lieu à des collaborations pérennes avec BYU (V.P. Solovjov, B. W. Webb) et le CETHIL (F. André).
Une étude numérique de la convection naturelle, prenant en compte le rayonnement de surface et le rayonnement d’un mélange air/H2O, a été réalisée dans une cavité cubique différentiellement chauffée pour des dimensions représentatives du bâtiment. L’écoulement et les transferts de chaleur sont prédits en couplant une méthode de volume fini avec un modèle compact de propriétés radiatives de gaz basé sur le principe de la somme pondérée de gaz gris (SLW) adaptés aux milieux non homogènes. L’équation de transfert radiatif est résolue au moyen de la méthode des ordonnées discrètes. Les simulations, effectuées à Ra = 106, ont permis de constater qu’en présence d’un milieu participatif la longueur de la cavité a une forte influence sur les champs de température et de vitesse qui affectent la circulation globale ainsi que les transferts de chaleur dans la cavité. Les résultats obtenus en régime permanent suggèrent que les effets radiatifs, souvent considérés comme négligeables compte tenu de l’épaisseur optique relativement faible, ne le sont plus lors de la prédiction des transitions de régime.
Par ailleurs, le développement d'outils d'évaluation des transferts radiatifs entre surfaces complexes (surfaces accidentées, obstructions, multi-réflexions), une méthode de réduction basée sur une adaptation itérative du maillage a été mise au point dans le cadre d’une convention CIFRE-ATLANTIC Industries dans le but de réduire la taille du système à résoudre par la méthode des radiosités. Cette technique raffine de façon sélective le maillage au cours de la résolution, et réduit considérablement les temps de calculs en favorisant les échanges radiatifs les plus importants et en traitant les autres à plus faible résolution (thèse Le Bohec, 2017).
Participants : Eva Dorignac, Gildas Lalizel, et Florian Moreau
Partenariat : CEA CESTA dans le cadre du LRC FLECHE.
Doctorants : Vincent Berrouet (2022 – 2025)
mots clés : mélange turbulent, température, micro-échelles, PLIF Rhb / FL27.
De nombreux travaux d’études du mélange d’un scalaire passif dans un écoulement turbulent ont été réalisés depuis les années 1970 et on peut citer les travaux de Tavoularis et Corrsin et Suzuki et al. Le scalaire étudié est la température, qui se comporte effectivement comme un scalaire passif dans les écoulements très turbulents. La simulation DNS est utilisée pour étudier l’influence du nombre de Prandtl et du nombre de Schmidt sur les statistiques du mélange et micro-mélange. L’objectif de ce travail de thèse est d’établir une base de données expérimentales des 3 composantes du tenseur des gradients des fluctuations de température mesurées à différentes échelles spatiales de la turbulence pour une géométrie composée de 4 écoulements d’eau se mélangeant dans une cavité carrée. L’influence de la géométrie d’une grille fractale opensource sur le mélange à la micro-échelle pourra être étudiée en modifiant les gradients initiaux de température des fluides.
La boucle hydrothermique VAMETH fournie par le CEA sera utilisée pour étudier le mélange et micro-mélange de 4 écoulements se mélangeant à 4 températures différentes à travers une grille simple et une grille "fractale" positionnée à l’intérieur d’une cavité carrée. La métrologie de température utilisée sera la Fluorescence Induite par Plan Laser à deux couleurs sur un couple de traceur : la Rhodamine B et la Fluorescéine 27. L’ajout de la FL27 permet d’augmenter la sensibilité et la précision de la mesure de température. On utilisera l’interaction inélastique entre un rayonnement LASER à 532 nm et un mélange de Rhodamine B (RhB) et de Fluorescéine 27 (FL 27) mélangée à l’eau.

Participants : Eva Dorignac, Marco Gigliotti, Gildas Lalizel et Patrick Berterretche
Doctorant : Aurélien Doriat (2021-2024)
Collaborations : SAFRAN AIRCRAFT ENGINES et EUR INTREE, reference ANR-18-EURE-0010
Mots clés : Composite à matrice polymère, couplage aéro-thermo-mécanique, oxydation, haute vitesse et haute température, approche expérimentale et numérique.
Les matériaux composites à matrice polymère (CMP) sont de plus en plus employés pour la réalisation de pièces structurelles d'avion, permettant une économie de poids constante et une réduction des émissions de CO2. –Une collaboration entre DPMM ENDO et FTC COST,se concentrant sur l'emploi de l'installation BATH sur le plateau technique Prometee, consiste à caractériser les couplages aéro-thermo-mécaniques se produisant lors du vieillissement par thermo-oxydation des composites à matrice polymère dans des conditions de flux d'air à grande vitesse et hautes températures. Les conditions à l'interface (gradients de vitesse du flux d'air, rugosité, rayonnement et flux de chaleur convectif, pression locale et concentration en O2) devraient jouer un rôle majeur. Une méthode inverse sera développée pour obtenir la température des échantillons de matériau CMP et le flux de chaleur de la paroi de l'arrière grâce aux mesures par thermographie infrarouge et par thermocouple. La Microscopie optique et la technique d’ultra-micro indentation seront employées pour caractériser l'érosion et les gradients de propriétés mécaniques dans la couche de matière thermo-oxydée. Des modèles numériques et des schémas d'optimisation seront utilisés pour simuler et identifier les champs aérothermiques proches de l'interface écoulement/matière (échanges convectifs) et les phénomènes de thermo-oxydation diffusion/réaction (paramètres diffusifs, constantes de réaction, constantes de couplage chimio-mécaniques) au sein du matériau. Les conditions aérothermiques identifiées comme la température, la pression, la concentration en oxygène près de l'interface écoulement-matière seront utilisées comme conditions aux limites pour simuler les gradients de thermo-oxydation au sein du matériau vieilli. Le lien entre propriétés d'interface et thermo-oxydation du matériau sera ainsi établi.

Concernant les aspects de convection forcée, un exemple applicatif crucial est de maîtriser la température des moteurs électriques pour obtenir de meilleurs rendements et de plus grandes puissances. Cet aspect se retrouve à la fois dans le cadre du projet européen CleanSky II HASTECS (collaboration avec LAPLACE et Airbus/Toulouse), dont l’enjeu est de remplacer un système de propulsion classique par une propulsion hybride-électrique pour les horizons 2025 et 2035 (thèse Zeaiter), ici en modélisant thermiquement complétement le moteur électrique (approche nodale 3D) en vue d’une optimisation de son système de refroidissement, et dans une convention Renault qui envisage de doter ses futurs véhicules d’un système de refroidissement innovant basé sur l’impact de jets de fluide diélectrique (huile) directement sur les parties les plus critiques (rotor). Deux bancs expérimentaux sont développés (thèse Renon) : une plaque fixe chauffée et une plaque chauffée en rotation. Les effets de plusieurs paramètres (température de l’huile, débit du jet, distance d’impact, vitesse de rotation, distance du point d’impact à l’axe de rotation) sont en cours d’étude. La face avant n’étant pas exploitable à cause du jet d’huile, une approche inverse a été développée pour l’estimation de la distribution de coefficient d’échange sur la face refroidie de la paroi chauffée, à partir de mesures de température en face arrière. La distribution de flux par conduction est d’abord estimée par moindres carrés ordinaires à partir d’un modèle en représentation d’état. La matrice des sensibilités étant mal conditionnée, une régularisation est effectuée, par pénalisation de Tikhonov. Une fois le flux obtenu, le modèle permettra de calculer la distribution de coefficient d’échange en face avant, caractérisant ainsi l’efficacité du refroidissement.
L’amélioration du rendement et la réduction de la consommation de carburant, cruciale aussi dans les moteurs aéronautiques, passe par l’optimisation de turbine basse pression par le biais de la maîtrise des jeux radiaux entre rotor et stator (convention SAFRAN). Ces jeux radiaux sont pilotés grâce à un système de contrôle actif (LPTACC) reposant sur le refroidissement du carter par une technologie d’impact de jets. L’optimisation passe par la recherche de nouveaux designs pour maximiser les transferts thermiques. Un banc expérimental a été réalisé pour étudier l’influence des pas inter-trous et de la forme de l’injection, constituant une base de données pour valider des calculs LES pour des études paramétriques plus larges et une recherche d’optimum.
Dans le cadre du programme Equipex GAP, le banc d’essais BATH (Banc AéroTHermique) a été conçu pour réaliser des essais aérothermiques représentatifs du fonctionnement de moteurs aéronautiques dans des conditions aérodynamiques et thermiques maîtrisées permettant son exploitation par la communauté scientifique en partenariat avec l’industrie aéronautique mais également avec d’autres secteurs mettant en jeu ce type d’écoulement. Cette soufflerie à très haute température et pression permet d’avoir un écoulement chauffé (électriquement, ou par combustion de kérosène). La veine d’essais amovible s’adapte aux études pluridisciplinaires et transverses : études aérothermiques, essais matériaux, développement métrologique. L’intérieur de la chambre de combustion est accessible par des hublots transparents (visible, UV et IR) pour étudier les phénomènes de combustion haute pression et les transferts radiatifs par métrologies optiques non intrusives. En matière de performance, la température dans la chambre de combustion est comprise entre 1500 et 1900 K à richesse de mélange et pression variables jusqu’à 10 bar. Sur le thème du refroidissement pariétal aérothermique, une étude est en cours (thèse Subramanian) sur une nouvelle configuration de jets débouchant (injection triple : 2 jets de petites dimensions en amont du jet principal générant le film froid) dans un écoulement transverse. L’objectif est de retarder le développement des tourbillons contrarotatifs du jet principal dont l’efficacité du refroidissement dépend. Des premiers résultats numériques encourageant ont été obtenus à partir de modélisation RANS (Prasath, 2018). Les essais à venir permettront de valider les résultats numériques, d’analyser et comprendre les interactions instationnaires fluide/paroi et tester la configuration optimale déterminée numériquement. Une métrologie ambitieuse est en cours de mise au point comprenant des mesures des flux convectifs à la paroi (par thermographie IR) et du champ 3D de vitesses (par TOMOPIV) et de températures de l’écoulement (par luminophores et par PLIF).
Systèmes diphasiques à changement de phase liquide/vapeur
Permantents : Vincent Ayel, Adel Benselama, Yves Bertin, Dominique Couton, Cyril Romestant, Etienne Videcoq
- Caloducs oscillants
- Boucles diphasiques à pompage capillaire
- Caloducs capillaires
- Thermosiphons
- Forces Electro-Hydro-Dynamiques
Participants : Vincent Ayel, Adel Benselama, Yves Bertin, Cyril Romestant
Doctorants : Antoine Voirand (2012-2016), David Dufraisse (2013-2017) ; Laura Fourgeaud (2013-2016), Maksym Slobodeniuk (2018-2021), Thibault Van’t Veer (2020-2023)
Un caloduc oscillant ou PHP (« Pulsating Heat Pipe ») est un système de transfert composé de plusieurs boucles interconnectées les unes aux autres provenant d’un seul et même tube lisse de dimension capillaire. Ce tube est partiellement rempli d’un fluide caloporteur qui prend naturellement la forme de bulles de vapeur et de bouchons de liquide séparés sous l’effet des forces de tension superficielle. Lorsque le caloduc oscillant est chauffé à une extrémité et refroidi à l’autre, les écarts de température résultants génèrent des fluctuations de pression à la fois temporelles et spatiales, elles-mêmes associées à la génération et à la croissance de bulles de vapeur dans l’évaporateur et à leur implosion dans le condenseur. Ces fluctuations agissent comme un système de pompage permettant de transporter le liquide et les bulles de vapeur piégées par un mouvement de fluide complexe, souvent qualifié d’« oscillant » et, par conséquent, une quantité de chaleur associée.
|
|
L’équipe COST a travaillé sur des aspects d’évaporation dans les caloducs oscillants (projet ANR AARDECO, collaboration CETHIL, CEA, PSA, Liebherr Aerospace) : un dispositif original de mesure par thermographie infrarouge de la trace thermique du passage d’un ménisque récessif dans un tube capillaire en cuivre chauffé a permis de faire des avancées notables sur l’évaporation de films liquides minces et, notamment, sur les effets de la mouillabilité du couple fluide-paroi. En parallèle, des travaux théoriques, menés sur la modélisation des échanges de masse et chaleur à l’échelle du ménisque [thèse Voirand, 2016], ont abouti à l’extension du modèle de Park et Homsy (1984) par la prise en compte des effets d’inertie et du transfert de chaleur. Une deuxième thèse [Dufraisse, 2016] a abouti à un démonstrateur de caloduc oscillant (PHP) multi-sources permettant des évacuations de puissances (et densités de flux) encore jamais atteintes même à ce jour par ce genre de dispositif (plus de 8 kW uniformément répartis sur 3 sources, et 60 W/cm² au niveau de la surface interne des tubes).
|
|
.
|
|
|
Depuis 2014, l’équipe COST a participé activement au programme de l’Agence Spatiale Européenne ESA CORA MAP INWIP (collaboration Univ. Brigthon, Milan, Pise, Bergame, Naples, ULB, CEA), en participant notamment à 7 campagnes de vols paraboliques (Novespace/Mérignac) au cours desquels elle a développé de multiples prototypes de caloducs oscillants (PHP) dits plats en vue d’une meilleure compréhension des phénomènes thermohydrauliques internes en s’affranchissant des forces de pesanteur. Partant d’un premier prototype en cuivre opaque, l’équipe a successivement développé des PHP semi-transparents, permettant la visualisation des écoulements de type bulles/bouchons ou avec ébullition, couplée aux mesures de température et pressions. Les derniers tests ont été réalisés avec une fenêtre en saphir, permettant la thermographie infrarouge de l’écoulement dont la phase liquide (éthanol) est opaque sur cette gamme de longueur d’ondes. Les observations ont largement contribué à une meilleure compréhension des phénomènes et abouti à l’actuelle mise au point d’un démonstrateur destiné à être testé à bord de la Station Spatiale Internationale.
Un deuxième programme ESA CORA MAP TOPDESS a débuté depuis 2019 (mêmes partenaires avec Univ. de Parmes, Liebherr Aerospace et Airbus D&S). Ce programme, assure la continuité des études sur les transferts dans les caloducs oscillants, mais vise surtout à développer et tester la mise au point de techniques de structures déployables (alliages à mémoire de forme) en vue d’un élargissement de leurs applications. Notons pour finir des travaux en cours sur les effets de la mouillabilité fluide/paroi démontrant l’importance de ce paramètre sur les transferts à l’échelle de ces systèmes, notamment par l’utilisation de fluides binaires (mélanges aqueux binaires, remouillant ou avec surfactant).
Références :
- CHAURIS N., AYEL V., BERTIN Y., ROMESTANT C., Evaporation of a liquid film deposited on a capillary heated tube: Experimental analysis by infrared thermography of its thermal footprint, INTERNATIONAL JOURNAL OF HEAT AND MASS TRANSFER , vol. 86, pp. 492-507, DOI : 10.1016/j.ijheatmasstransfer.2015.03.013, 2015
- AYEL V., PIETRASANTA L., LALIZEL G., ROMESTANT C., BERTIN Y., MARENGO M., Thermo-hydraulic analysis of semi-transparent flat plate pulsating heat pipes tested in 1 g and microgravity conditions, MICROGRAVITY SCIENCE AND TECHNOLOGY, vol. 31, pp. 1-13, DOI : 10.1007/s12217-019-9701-6, 2019
- AYEL V., ARANEO L., SCALAMBRA A., MAMELI M., ROMESTANT C., PITEAU A., MARENGO M., FILIPPESCHI S., BERTIN Y., Experimental study of a closed loop flat plate pulsating heat pipe under a varying gravity field, INTERNATIONAL JOURNAL OF THERMAL SCIENCES, vol. 96, pp. 23-34, DOI : 10.1016/j.ijthermalsci.2015.04.010, 2015
- MANNO V., FILIPPESCHI S., MAMELI M., ROMESTANT C., AYEL V., BERTIN Y., Thermal-hydraulic characterization of a flat plate pulsating heat pipe for automotive application, INTERFACIAL PHENOMENA AND HEAT TRANSFER, vol. , pp. 1-10, DOI : 10.1615/InterfacPhenomHeatTransfer.2016013273, 2016
- VOIRAND A., BENSELAMA A. M., AYEL V., BERTIN Y., Expanding Taylor bubble under constant heat flux., PHYSICS OF FLUIDS , vol. 28, pp. ---, DOI : 10.1063/1.4962410, 2016
- ZABEK D., TAYLOR J., AYEL V., BERTIN Y., ROMESTANT C., BOWEN C. R., A novel pyroelectric generator utilising naturally driven temperature fluctuations from oscillating heat pipes for waste heat recovery and thermal energy harvesting, JOURNAL OF APPLIED PHYSICS, vol. 120, pp. ---, DOI : 10.1063/1.4958338, 2016
- BERTOSSI R., AYEL V., MEHTA B., ROMESTANT C., BERTIN Y., KHANDEKAR S., Motion of liquid plugs between vapor bubbles in capillary tubes; a comparison between fluids, HEAT AND MASS TRANSFER, vol. 53, pp. 3315-3327, DOI : 10.1016/j.jnnfm.2018.04.002, 2017
- CECERE A., DE CRISTOFARO D., SAVINO R., AYEL V., SOLE-AGOSTINELLI T., MARENGO M., ROMESTANT C., BERTIN Y., Experimental analysis of a Flat Plate Pulsating Heat Pipe with Self-ReWetting Fluids during a parabolic flight campaign , ACTA ASTRONAUTICA, vol. 147, pp. 454-461, DOI : 10.1016/j.actaastro.2018.03.045, 2018
- AYEL V., ARANEO L., MARZORATI P., ROMESTANT C., BERTIN Y., MARENGO M., Visualization of Flow Patterns in Closed Loop Flat Plate Pulsating Heat Pipe Acting as Hybrid Thermosyphons under Various Gravity Levels, HEAT TRANSFER ENGINEERING, vol. 40, pp. 227-237, DOI : 10.1080/01457632.2018.1426244, 2019
- AYEL V., SLOBODENIUK M., BERTOSSI R., ROMESTANT C., BERTIN Y., Flat plate pulsating heat pipes : A review on the thermohydraulic principles, thermal performances and open issues, APPLIED THERMAL ENGINEERING, vol. 197, 117200, https://doi.org/10.1016/j.applthermaleng.2021.117200, 2021
Participants : Vincent Ayel, Yves Bertin, Cyril Romestant, Etienne Videcoq
Doctorants : Nicolas Blet (2011-2014), Alexandre Mari (2015-2019), Marie Lévèque (2016-2020), Filippo Pagnoni (2016-2019), Flavio Accorinti (2017-2020)
Les boucles diphasiques ont été conçues dans le but de répondre à une demande accrue d’évacuation de fortes densités de puissance, initialement dans le domaine spatial. Contrairement aux caloducs classiques, les parcours liquide et vapeur sont totalement séparés. Dans les CPL (« Capillary pumped Loop »), un réservoir séparé de l’évaporateur pilote la température de travail de l’évaporateur. Dans les LHP (« Loop Heat Pipe »), le réservoir est intégré à l’évaporateur et la possibilité d’une régulation automatique de la température de fonctionnement est meilleure.
Plusieurs travaux ont été consacrés à l’étude systémique de boucles diphasiques à pompage capillaire (BDPC) pour application terrestre, étudiées depuis 2006 au laboratoire et ayant donné lieu à de nombreux travaux et collaborations (LAPLACE, LEMTA, LATEP). Dans le cadre du projet européen CleanSky II HASTECS (étude et optimisation des couplages électriques et thermiques dans la chaîne de propulsion électrique des avions hybrides de demain, collaboration LAPLACE et AIRBUS), l’équipe COST était en charge du refroidissement des interrupteurs de puissance par des solutions diphasiques passives innovantes [thèse Accorinti, 2020]. La solution retenue, la BDPC, comparée à d’autres solutions classiques monophasiques ou diphasiques pompées, a donné des résultats très prometteurs dans ce contexte aéronautique, des points de vue de l’efficacité et de masse embarquée. Un modèle instationnaire [thèse de Blet, 2014] associé aux résultats expérimentaux ont permis de faire des avancées sur la compréhension phénoménologique de cette boucle notamment soumise à des accélérations sévères ou dans le cas de démarrages défectueux.
|
|
|
Des essais de contrôle de cette boucle, présentant de fortes non linéarités, ont été menés grâce à la formulation de modèles réduits et leur construction par la méthode d’identification modale en agissant sur la température du réservoir, amenant à une stabilisation de la température de la source chaude quelle que soit la sollicitation.
L’équipe COST, en participant au co-encadrement de deux thèses en partenariat avec le LAPLACE et la participation au comité de pilotage du programme SO-COOL de l’IRT St Exupéry de Toulouse, a pu accompagner des projets de recherche axés sur l’optimisation et la minimisation d’évaporateurs capillaires [thèse Marie, 2019] ou l’extension des performances des boucles diphasiques à pompage capillaire par l’ajout de pompe mécanique sur la ligne liquide [thèse Lévèque, 2020].
|
|
![]() |
Le projet DGAC OPTIMA (collaboration ATHERM, AIRBUS) a concerné la protection thermique de composant dissipatif, situé dans l’environnement très sévère d’un turboréacteur, et refroidi par une boucle diphasique passive de type LHP (« Loop Heat Pipe ») [thèse Pagnoni, 2019]. Le défi était de trouver un fluide compatible avec le matériau utilisé couramment (titane) et avec les conditions aux limites sévères en température, allant de valeurs négatives à près de 200°C. Un banc test de compatibilité a disqualifié le premier fluide retenu (Dowtherm J), tandis qu’un prototype de LHP de plus de 3 m entre sources chaude et froide a permis de démontrer sa robustesse et son potentiel de refroidissement, même rempli avec de l’eau.
Références :
- BLET N., BERTIN Y., AYEL V., ROMESTANT C., PLATEL V., Experimental analysis of a capillary pumped loop for terrestrial application with several evaporators in parallel, APPLIED THERMAL ENGINEERING, vol. 93, pp. 1304-1312, DOI : 10.1016/j.applthermaleng.2015.10.096, 2016
- BLET N., PLATEL V., AYEL V., BERTIN Y., Transient modeling of a capillary pumped loop for terrestrial applications, JOURNAL OF HEAT TRANSFER-TRANSACTIONS OF THE ASME, vol. 138, pp. 1-15, DOI : 10.1115/1.4032960, 2016
- VIDECOQ E., GIRAULT M., AYEL V., ROMESTANT C., BERTIN Y., On-line thermal regulation of a capillary pumped loop via state feedback control using a low order model, APPLIED THERMAL ENGINEERING, vol. 108, pp. 614-627, DOI : 10.1016/j.applthermaleng.2016.07.071, 2016ACCORINTI F., AYEL V., BERTIN Y., Steady-state analysis of a Capillary Pumped Loop for Terrestrial Application with methanol and ethanol as working fluids , INTERNATIONAL JOURNAL OF THERMAL SCIENCES, vol. 137, pp. 571-583, DOI : 10.1016/j.ijthermalsci.2018.10.036, 2019
- ACCORINTI F., BLET N., AYEL V., DUTOUR S., BERTIN Y., Experimental and Numerical Analysis of Start-Up of a Capillary Pumped Loop for Terrestrial Applications, ASME J. Heat Transfer. 2019, 141(9): 091813 (9 pages). https://doi.org/10.1115/1.4044276
- LEVEQUE M., DUTOUR S., LLUC J., LAVIEILLE P., MISCEVIC M., BERTIN Y., MARI R., FOURGEAUD L., Experimental study of a Capillary Pumped Loop assisted with a mechanical pump placed at the evaporator inlet, APPLIED THERMAL ENGINEERING, vol. 169, pp. 114850--, DOI : 10.1016/j.applthermaleng.2019.114850, 2020
- PAGNONI F., AYEL V., BERTIN Y., COULLOUX J., ZEBIAN M., Loop heat pipe for thermal management of the aircraft engine equipment, JOURNAL OF THERMOPHYSICS AND HEAT TRANSFER, vol. 35, https://doi.org/10.2514/1.T6049, 2021
Participants : Vincent Ayel, Adel Benselama, Yves Bertin, Cyril Romestant
Doctorants : Kods Grissa (2015-2018)
Ce sont des caloducs pour lesquels le retour du liquide est assuré par les forces de pompage capillaire dans une structure poreuse qui tapisse la paroi intérieure du tube. De nombreuses structures capillaires sont aujourd’hui développées (mèches tissées, rainures, métal fritté…) pour améliorer le pompage et les limites de fonctionnement de tels caloducs. On utilise ce type de caloduc de manière prépondérante dans des systèmes spatiaux, même si leur développement est de plus en plus marqué pour des applications terrestres (refroidissement de microprocesseurs, moules de fonderie, etc…).
L’équipe a travaillé en collaboration avec l’ENIM (Univ. de Monastir, Tunisie) à travers une thèse en co-tutelle [Grissa, 2018] portant essentiellement sur l’échange d’outils numériques (LBM et Volumes Finis, type OpenFOAM) appliqués au contexte d’écoulement diphasique avec changement de phase. Les objets scrutés étaient le caloduc à structure poreuse « intelligente ».
Références :
- GRISSA K., CHAABANE R., LATAOUI Z., BENSELAMA A., BERTIN Y., JEMNI A., Lattice Boltzmann model for incompressible axisymmetric thermal flows through porous media., PHYSICAL REVIEW E , vol. 94, pp. 043306--, DOI : 10.1103/PhysRevE.94.043306, 2016
- GRISSA K., LATAOUI Z., JEMNI A., BENSELAMA A., BERTIN Y., Heat Transfer Enhancement of Cylindrical Heat Pipes Using Lattice Boltzmann Method, INTERNATIONAL JOURNAL OF MECHANICAL ENGINEERING AND ROBOTICS, vol. 6, pp. 82-87, DOI : 10.18178/ijmerr.6.2.82-87, 2017
- GRISSA K., BENSELAMA A. M., LATAOUI Z., ROMESTANT C., BERTIN Y., JEMNI A., Performance of a cylindrical wicked heat pipe used in solar collectors: Numerical approach with Lattice Boltzmann method, ENERGY CONVERSION AND MANAGEMENT, vol. 150, pp. 623-636, DOI : 10.1016/j.enconman.2017.08.038, 2017
- GRISSA K., BENSELAMA A., LATAOUI Z., BERTIN Y., JEMNI A., Investigations of the thermal performance of a cylindrical wicked heat pipe, INTERNATIONAL JOURNAL OF ENERGY RESEARCH , vol. 42, pp. 3048-3058, DOI : 10.1002/er.3973, 2018
Participants : Vincent Ayel, Adel Benselama, Yves Bertin, Dominique Couton, Manuel Girault, Cyril Romestant, Etienne Videcoq
Doctorants : Serge Hèzièwè Bodjona (2013-2017), Thanh Tung Hoang (2015-2018), Julien Caner (2020 - en cours)
Post-doctorants : Thanh Tung Hoang (2018-2019)
Les thermosiphons sont des caloducs pour lesquels le retour liquide est assuré par les forces de gravité. Ils ne peuvent donc fonctionner que sous champ de gravité terrestre et dans un sens (fonction de diode thermique). On pourra rajouter une structure capillaire simple sur la paroi pour améliorer les coefficients d'échange thermique. La vapeur s’écoule par différence de pression entre évaporateur et condenseur, et le retour liquide s’effectue le long des parois internes. Un bain de liquide est alors présent dans la partie inférieure au niveau de l’évaporateur, et l’évaporation se fait par ébullition en « pool » dans ce bain et par évaporation en film dans la partie supérieure où le liquide s’écoule. Leur utilisation est prépondérante dans les échangeurs de chaleur, on peut aussi les trouver dans les diffuseurs à ailettes des microprocesseurs, dans le refroidissement des interrupteurs de puissance électrique des motrices de train/métro/TGV, dans le refroidissement du permafrost pour le maintien des pipe-lines au-dessus du sol, etc… Les utilisations sont multiples.
Des travaux ont été initiés concernant la récupération et la valorisation de chaleur fatale mise en place dans de nombreux secteurs industriels, notamment sur gaz chauds dans le cadre de l’OpenLab Fluidics avec PSA (désormais Stellantis) [Thèse Hoang, 2018]. La solution de caloduc à effet thermosiphon a été retenue, à température « élévée » comprise entre 250°C et 450°C, niveaux encore jamais étudiés au laboratoire. Le développement d’un caloduc thermosiphon en inox lisse de longueur 1 m et chargé en naphtalène, a été réalisé et testé. Les résultats expérimentaux ont d’abord démontré la faisabilité d’un tel système pour cette gamme de température et de puissances envisagées (jusqu’à 1,5 kW), révélant une faible sensibilité à l’inclinaison, y compris en orientation horizontale, mais un comportement inhabituel lors des phases de démarrage. Un modèle de thermosiphon dans lequel les coefficients d’échange locaux (évaporateur et condenseur) sont calculés par différentes corrélations issues de la littérature a été comparé avec les résultats expérimentaux et a permis de valider les modèles physiques retenus avec un très bon accord. Enfin, un dernier prototype a été conçu, fabriqué et couplé sur la veine « gaz chauds » et les premiers résultats du système complet ont permis de développer des stratégies de récupération de l’énergie thermique sur la ligne d’échappement.
Une boucle diphasique gravitaire (BDG) est un système thermique passif constitué d’un évaporateur, d’un condenseur, d’une ligne liquide et d’une ligne vapeur. Son fonctionnement repose sur le changement de phase d’un fluide et sur la gravité qui sert de moteur à l’écoulement. Les travaux de thèse de Serge Hèzièwè Bodjona (2013-2017) ont permis le développement d’un modèle monodimensionnel sous l’hypothèse de mélange homogène [1], ainsi que la construction de modèles réduits [2]. L’étape suivante consiste à simuler plus finement le comportement des écoulements diphasiques en considérant des phases séparées et une modélisation 3D. Les effets capillaires et la mouillabilité, fortement présents et impactant de manière significative la topologie des écoulements, sont également pris en compte. Ces travaux ont commencé par la thèse de Julien Caner (2020-2023). Le modèle de changement ainsi développé permet de simuler l’ébullition nuclée dans un thermosiphon. La formulation des modèles réduits associés prendra en compte les lois de fermeture NASG. En parallèle des développements théoriques et numériques, un dispositif expérimental de boucle diphasique gravitaire permet de valider les simulations.

Références :
- [1] BODJONA S. H., VIDECOQ E., SAUREL R., CHINNAYYA A., BENSELAMA A. M., BERTIN Y., Transient simulation of a two-phase loop thermosyphon with a model out of thermodynamic equilibrium, INTERNATIONAL JOURNAL OF HEAT AND MASS TRANSFER, vol. 108, pp. 2321-2332, DOI : 10.1016/j.ijheatmasstransfer.2017.01.061, 2017
- [2] BODJONA S. H., GIRAULT M., VIDECOQ E., BERTIN Y., Reduced order model of a two-phase loop thermosyphon by modal identification method , INTERNATIONAL JOURNAL OF HEAT AND MASS TRANSFER, vol. 123, pp. 637-654, DOI : 10.1016/j.ijheatmasstransfer.2018.02.075 , 2018
Participants : Vincent Ayel, Adel Benselama, Yves Bertin
Doctorants : Baptiste Blaineau (2014-2018)
Post-doctorants : Nicolas Chauris (2017-2019)
Les travaux proposés par l’équipe COST portent sur la manipulation des fluides à l’état liquide et des interfaces liquide-vapeur, par effet électro-hydro-dynamique, dans un objectif de pompage et/ou d’intensification des transferts de chaleur à l'interface fluide-paroi. Dans l’état actuel des connaissances, les questionnements sont avant tout scientifiques, les modèles publiés dans la littérature ne permettant pas de décrire quantitativement les quelques résultats expérimentaux disponibles. L’utilisation d’un champ électrique pour le contrôle localisé d’interfaces présente des potentialités particulièrement intéressantes jusqu’alors peu explorées pour de telles applications. En effet, si le développement de l’électro-hydrodynamique s’est poursuivi depuis de nombreuses années pour le contrôle d’écoulements et la création de pompe de circulation, les applications thermiques (à l’exception de l’ébullition sous champ électrique) restent encore très marginales. Pourtant les connaissances développées dans ce domaine donnent aujourd’hui la possibilité de disposer de nouvelles voies de contrôle des écoulements et des interfaces.
Dans cet optique, le programme ANR EDYPHYCE (collaboration LAPLACE, équipe EFD de PPRIME, ASTRIUM, Thalès, Farenheit/Toulouse) ciblait l’analyse scientifique et la faisabilité technique de l’usage des forces Electro-Hydro-Dynamiques (EHD) dans un contexte diphasique liquide/vapeur. Dans ce cadre, l’équipe COST a mis au point avec le LAPLACE un modèle prenant en compte l’ensemble de ces forces sur une interface liquide-vapeur hors-équilibre électrique et dans le volume liquide [thèse Blaineau, 2018], et ayant fait l’objet de confrontation et validation expérimentale menée au LAPLACE, démontrée notamment en courant électrique continu et à basse fréquence. Un démonstrateur expérimental dans lequel ces forces EHD assistent l’écoulement d’un film d’épaisseur variable, en vue de transposition aux tubes capillaires, a également été mis en point et a validé avec succès le modèle développé. Des démonstrateurs expérimentaux ont par ailleurs été développés in situ pour démontrer la faisabilité et l’exploitation de ces forces EHD sur l’intensification des transferts [post-doc Chauris, 2018] :
1. Banc de mesure pression/débit de pompe EHD ;
2. Banc de « vent ioniques » avec mesures PIV pour l’amincissement de films liquides (en vue de leur écoulement et de l’intensification du coefficient d’échange par son amincissement) ;
3. Banc de caloduc oscillant (PHP) couplé à une pompe EHD (en vue de l’extension de la gamme de puissance évacuée). Il s'agit ici de mettre en mouvement un liquide diélectrique en utilisant les forces de Coulomb pour réalimenter en liquide la zone évaporateur du PHP soumis à des assèchements précoces.
|
|
Ces études permettent d’envisager des configurations où le couplage des domaines de l’EHD et de la thermique répondrait à de nombreuses attentes ouvrant ainsi la voie à de nouvelles applications aux retombées multiples. En effet le problème du contrôle de la température des surfaces et la gestion du flux de chaleur qui lui est associé est un point crucial dans de très nombreuses applications (microélectronique, électronique de puissance des systèmes embarqués ou fixes, centrale électrique, climatiseurs, pompe à chaleur, procédés thermiques industriels : métallurgie, chimie, agroalimentaire...).
Références :
- BENSELAMA A. M., VOIRAND A., BERTIN Y., Electric and capillary instability of liquid rising between heated/cooled parallel plates and subjected to phase change: DC on perfect dielectric liquids, COLLOIDS AND SURFACES A : PHYSICOCHEMICAL AND ENGINEERING ASPECTS, vol. 555, pp. 167-176, DOI : 10.1016/j.colsurfa.2018.08.003, 2018
- BLAINEAU B., DUTOUR S., CALLEGARI T., LAVIEILLE P., MISCEVIC M., BLANCO S., SCHLEGEL M., BERTIN Y., BENSELAMA A. M., Experimental investigation of a dielectric liquid-vapor interface between two vertical planar electrodes: Influence of the DC electric field and temperature , EXPERIMENTAL THERMAL AND FLUID SCIENCE, vol. 105, pp. 144-152, DOI : 10.1016/j.expthermflusci.2019.03.017, 2019
Propriétés thermophysiques des matériaux et Modèles réduits
Permantents : Adel Benselama, Yann Billaud, Matthieu Fénot, Manuel Girault, Denis Lemonnier, Didier Saury, Etienne Videcoq
- Identification des pertes thermiques dans une machine électrique par méthode inverse
- Propriétés thermophysiques de matériaux à structure complexe
- Modèles d'ordre réduit des transferts couplés conducto-radiatifs
- Modèles thermo-rhéologiques d'ordre réduit pour la caractérisation des polymères
Participants : Amal Zeaiter, Matthieu Fénot, Etienne Videcoq
L’équipe a participé au projet Clean Sky 2 qui porte entre autres sur l’hybridation des avions du futur. La nouvelle génération de moteurs électriques (Fig. 1) offre des densités de puissance (kW/kg) très élevées. Malgré un haut rendement, des flux de chaleur importants sont dissipés dans ces machines électriques, à cause des pertes Joule, des pertes fer, des frottements, etc. Ces flux thermiques peuvent conduire à des valeurs critiques de température et une détérioration irréversible de la machine (démagnétisation des aimants par exemple). Des solutions techniques complexes sont étudiées afin d’extraire la chaleur de ces machines aux nombreuses contraintes (compacité, forts courants électriques, rotation). Un des points forts de ce projet est de montrer la possibilité d’identifier les pertes thermiques dans la machine en temps réel à partir de quelques observables en température par résolution d’un problème inverse. Il s’agit d’un problème mal posé : sa solution n’est pas unique, ni stable, en particulier en présence de mesures bruitées. Par conséquent, la méthode des pas de temps futurs, adaptée à la résolution séquentielle, est utilisée. Elle permet un filtrage des sources dans le temps comme indiqué en Fig 2 pour un nombre de pas de temps futurs égal à 12. La technique permet également d’estimer en temps réel la température en des points inaccessibles à la mesure (pièces tournantes, bobinage).
|
|
|
|
|
|
La détermination des propriétés thermophysiques de matériaux à structure complexe est motivée par l’utilisation de plus en plus répandue des composites ou de semi-transparents dans les transports terrestres, aériens ou spatiaux. Basées sur le principe de la méthode flash, les activités ont permis la caractérisation de matériaux orthotropes monocouches à multicouches (thèse El Rassy, 2019) et ont permis le développement de nouvelles stratégies d’identification basées sur l’entrainement de réseaux de neurones artificiels, notamment d’identifier simultanément les propriétés conductives et radiatives d’échantillons de PMMA, corroborés par des mesures spectrales.
Participants : Didier Saury, Yann Billaud, Denis Lemonnier, Adel Benselama, Manuel Girault
Doctorants : Yang Liu (2016-2019)
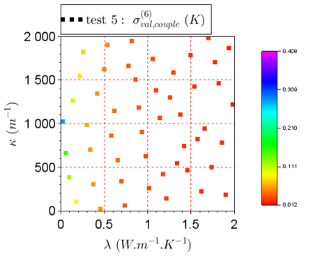
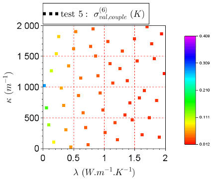
Ces travaux concernent l’étude de faisabilité de l’estimation simultanée par « méthode Flash » des propriétés thermophysiques de matériaux semi-transparents, à savoir la conductivité thermique λ et le coefficient d’absorption κ. Cette méthode consiste, après avoir appliqué au moyen d’un laser un flux de chaleur sur l’échantillon à caractériser, à mesurer l’évolution de la température en face avant (zone d’impact du laser), à partir de laquelle les paramètres λ et κ sont ensuite estimés. Dans ce contexte, nous souhaitons étudier la faisabilité de l’estimation du couple (λ, κ) par résolution d’un problème inverse à l’aide de modèles réduits des transferts couplés conducto-radiatifs. La première étape consiste à développer des modèles réduits (MR) paramétrés par λ et κ (supposés ici uniformes dans le milieu) et capables de fournir la température au(x) point(s) de mesure en réponse au flux de chaleur appliqué par le laser. Très peu de travaux sur la réduction de modèle pour des problèmes couplant conduction et rayonnement dans les milieux semi-transparents existent dans la littérature. On considère les transferts de chaleur par conduction et rayonnement dans un milieu gris, absorbant, émetteur et non-diffusant avec des frontières noires. La méthode P1, qui convient aux milieux optiquement épais, fournit une relation entre le vecteur densité de flux par rayonnement et la densité de flux radiatif incident. Le modèle détaillé (MD) de référence est un modèle 2D axisymétrique non-linéaire de type « volumes finis » développé par Yang Liu [1]. L’élévation de température étant cependant limitée de manière à éviter un endommagement et une modification de l’échantillon, nous nous plaçons dans le cadre de petites variations de température autour d’un point de fonctionnement. Dans le cadre de la réduction de modèle, l’équation de l’énergie et l’Equation de Transfert Radiatif, ainsi que les conditions aux limites associées, sont donc linéarisées. En considérant l’approximation des champs de température et de densité de flux radiatif incident par des produits de fonctions de l’espace et du temps, la forme générale des modèles réduits est obtenue par projection de Galerkin des équations linéarisées [2]. L’ajout de contraintes sur les matrices du modèle permet de déterminer une forme spécifique, garantissant la stabilité du système dynamique d’ordre réduit quelles que soient les valeurs des paramètres λ et κ. Ce point important a nécessité une attention particulière et des développements originaux. La construction d’un MR d’ordre m (m produits de fonctions dans les approximations) requiert l’identification des composantes des matrices et vecteurs du système dynamique. Celles-ci sont identifiés à travers la minimisation d’une fonctionnelle basée sur l’écart quadratique moyen entre, d’une part, les températures calculées avec le modèle réduit et, d’autre part, les données en température calculées avec le modèle détaillé non-linéaire de référence (Volumes Finis), ceci pour le même signal de densité de flux appliquée ϕdata(t) et le même ensemble de couples (λ, κ)data. La Figure 1 montre le schéma de la configuration. Une approche de type IHS (Improved Hypercube Sampling) a été employée pour couvrir l’espace des paramètres physiques (λ, κ) avec un nombre limité de couples. La Figure 2 montre deux nuages de points ainsi constitués, correspondant à des couples (λ, κ) dans la gamme choisie.
|
|
|
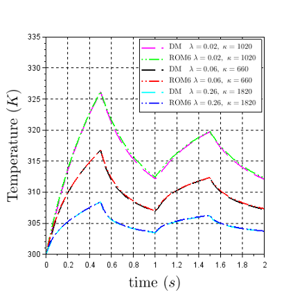
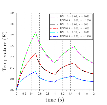
Pour l’identification des modèles réduits paramétriques, non-linéaires par rapport à λ et κ et linéaires par rapport à ϕ(t) lorsque λ et κ sont fixés, un créneau de densité de flux de chaleur ϕ(t) a été appliqué au MD pour 100 couples (λ, κ) indiqués sur la Figure 2 (points rouges). Les données de sortie sont les 100 évolutions de température correspondantes au centre de la face avant de l’échantillon (point d’impact du laser), calculées avec le MD. Une série de MR d’ordre m = 1 à 6 a été construite à partir de ces données entrées-sorties. Afin de tester les MR construits, 50 autres couples (λ, κ) ont été utilisés (Figure 2, carrés noirs) et plusieurs tests de validation ont été réalisés avec des signaux de densité de flux ϕ(t) différents. La Figure 3 et la Figure 4 illustrent les résultats pour l’un des tests de validation et montrent que le MR d’ordre 6 permet de bien reproduire les températures calculées par le MD. Ces travaux ont fait l’objet d’un article de revue [2] et ont été inclus dans la thèse de Yang Liu (2019).
Le développement d’un modèle tridimensionnel (voir Figure 5) permet d’étudier l’influence d’une incertitude de positionnement du faisceau laser (et la forme de sa trace) au centre de l’échantillon.
La formulation de modèles réduits non-linéaires, pour des transferts conducto-radiatifs dans des gammes d’élévation de température plus larges, pour lesquelles la linéarisation des équations n’est plus possible, est actuellement à l’étude.
Références:
[1] Liu Y., Billaud Y., Saury D., Lemonnier D., Simultaneous identification of thermophysical properties of semitransparent media using an artificial neural network trained by a 2-D axisymmetric direct model, Numerical Heat Transfer, Part A Applications, Vol.77, n°10, pp.890-912, 2020. (https://doi.org/10.1080/10407782.2020.1746167)
[2] Girault M., Liu Y., Billaud Y., Benselama A.M., Saury D., Lemonnier D., Reduced Order Models for conduction and radiation inside semi-transparent media via the Modal Identification Method, International Journal of Heat and Mass Transfer, Vol. 168, 2021. (https://doi.org/10.1016/j.ijheatmasstransfer.2020.120598)
Participants : Manuel Girault
Ces travaux en collaboration avec des collègues de l’équipe OSE du laboratoire GEPEA de Nantes s’inscrivent dans un cadre plus général visant à développer un dispositif de caractérisation thermo-rhéologique des écoulements de fluides complexes, en particulier des polymères fondus. L’amélioration de la qualité des produits et l’optimisation des procédés de fabrication nécessitent en effet une caractérisation rhéologique de l’écoulement au cours de l’élaboration. Les polymères, en particulier les élastomères, ont un comportement rhéologique fortement pseudo-plastique qui concentre le cisaillement aux parois de l’outillage. Le profil de température du polymère dans la filière dépend de la dissipation visqueuse et donc du cisaillement et de la rhéologie du matériau. Pour un fluide pseudo-plastique, la viscosité dynamique est souvent décrite par un loi-puissance définie par deux paramètres : la consistance K (en Pa.sn) et l’indice pseudo-plastique n<1, sans dimension. L’estimation en ligne de la viscosité d’un polymère à partir de mesures de températures requiert un modèle de petite taille permettant une réponse rapide.
Dans un premier temps, nous avons considéré un écoulement stationnaire établi en conduite circulaire (voir Figure 1), avec une symétrie par rapport à la coordonnée angulaire. Le champ de vitesse n’a donc qu’une seule composante uz dépendant de la coordonnée radiale r.
La thermodépendance de la viscosité étant négligée, la solution analytique du champ de vitesse en régime stationnaire est connue. Le modèle réduit (MR) concerne l’équation de l’énergie en régime stationnaire dans laquelle apparaissent les termes de transport, de diffusion thermique et de dissipation visqueuse. La difficulté majeure est due au fait que l’indice pseudo-plastique n est indissociable de la direction radiale, r. Le modèle réduit développé est explicitement paramétré par K et n qui définissent la viscosité [1]. Un MR d’ordre m (soit m termes dans l’approximation du champ de température) est identifié par minimisation d’une fonctionnelle basée sur l’écart quadratique entre d’une part, les données en température issues d’un modèle de référence de type éléments finis, et d’autre part, les sorties du MR, pour des couples (K,n) différents. La Figure 2 montre deux nuages de points correspondant à des couples (K,n) dans la gamme (K ∈ [5000;20000], n ∈ [0.3;0.6]), obtenus par une approche de type IHS (Improved Hypercube Sampling). Le nuage bleu composé de 60 couples (K,n) et les profils de température en sortie correspondants ont été employés pour l’identification d’une série de MR d’ordre m = 1 à 5. Le nuage rouge composé de 30 autres couples (K,n) et les profils de température en sortie correspondants ont servi à la validation des MR identifiés. La Figure 3 montre les profils issus du modèle de référence pour 6 des 30 couples-tests. Les échauffements varient fortement avec les propriétés rhéologiques du matériau. La Figure 4 montre l’erreur quadratique (moyenne sur les 30 couples-tests ) entre modèle de référence et MR d’ordre m = 1 à 5, en fonction de r. L’écart est plus important dans la zone de proche paroi où se concentre le cisaillement et où la variation de température est la plus forte. L’erreur quadratique diminue avec l’ordre du MR et la précision obtenue est déjà très bonne dès l’ordre 3 (0.01°C).
Une fois construits et validés, les MR peuvent être utilisés pour résoudre le problème inverse d’estimation de valeurs quelconques des paramètres (K,n) supposés inconnus, à partir d’un profil de température en sortie de conduite, simulé par le modèle de référence. Les MR d’ordre 3 à 5 ont permis d’estimer K et n avec quelques pourcents d’erreur en présence d’un bruit d’écart-type 0,3°C sur les températures, et ce quelle que soit l’initialisation de l’algorithme d’estimation [2]. La Figure 5 montre le profil de température en sortie simulé, sans et avec ajout de bruit. La Figure 6 illustre la convergence de l’estimation par le MR d’ordre 3.
Un banc expérimental composé d’une conduite formée de deux cylindres coaxiaux est actuellement en cours de montage au GEPEA de Nantes, dans le cadre de la thèse de Qiao Lin, débutée en octobre 2019 (co-encadrement avec M. Girault côté COST). Le polymère fondu circulera entre le cylindre extérieur et le cylindre intérieur plein. La géométrie annulaire favorise la dissipation visqueuse au sein de l’écoulement et facilite la prise de mesure de température au cœur de l’écoulement via l’axe central. Une formulation de modèle réduit plus générale, pour un domaine de géométrie quelconque dans lequel le champ de vitesse n’est pas connu sous forme analytique, a été développée. Les MR sont explicitement paramétrés par K et n. Le code Fortran parallélisé (Message Passing Interface) pour la construction des MR a été écrit et les premiers MR obtenus à partir de jeux de données constitués d’évolutions de température simulées permettent de bien reproduire le comportement du modèle de référence.
Références:
- [1] Girault M., Launay J., Allanic N., Mousseau P., Deterre R., Development of a thermal Reduced Order Model with explicit dependence on viscosity for a generalized Newtonian fluid, Journal of Non-Newtonian Fluid Mechanics, Vol. 260, pp.26-39, 2018.
- [2] Girault M., Launay J., Allanic N., Mousseau P., Deterre R., Estimation de la viscosité d’un polymère en écoulement à l’aide d’un modèle réduit, Congrès 2018 de la Société Française de Thermique (SFT), Pau, France, 29 mai - 1er juin 2018.
Métrologie thermique
La métrologie de température par une technique non intrusive à l’intérieur d’un fluide en mouvement est toujours un véritable défi : une collaboration entre les équipes COST et HYDEE de PPRIME et le CEA CESTA a mené au développement de la fluorescence de particules de polyamide adsorbées par de la rhodamine B pour la mesure de la température, adaptée à l’étude d’un mélangeur très compact à eau pour des régimes à très grands Reynolds. Des essais ont également été menés sur l’utilisation de la phosphorescence de l’oxyde de Zinc ensemençant l’écoulement. Une technique originale basée sur l’utilisation d’un doublet d’images obtenu à des temps d’intégration différents a permis de lever l’influence de la concentration locale en particules. Par ailleurs, le développement d’un autre banc de mesure de champ de température par une approche optique non intrusive (sans traceur), basée sur la technique Schlieren, est actuellement réalisé (post-doc Gonzales). L’équipe COST développe aussi d’autres techniques originales pour mesurer les composantes de la vitesse et de la température dans un fluide, en réalisant des micro-thermocouples dont le diamètre caractéristique de soudure est de 7,6 μm, permettant de mesurer les grandeurs fluctuantes de la température dans les écoulements turbulents. Un couplage PIV / micro-thermocouple a également été développé pour mesurer les flux thermiques turbulents.
- Approche inverse et estimation de la distribution de coefficient d’échange
- Métrologie convection forcée / gouttes
Participants : M Fénot, M Girault
Partenaires : IFPEN, Renault
Afin de mener à bien les études expérimentales des autres domaines de recherches de l’équipe, des techniques de mesures (notamment des mesures de températures) ont été mises au point. Ainsi dans le cadre de l’étude des transferts de chaleur dus à l’impact de jet sur surface tournante, une approche inverse a été développée pour l’estimation de la distribution de coefficient d’échange sur la face refroidie de la paroi chauffée, à partir de mesures de température en face arrière. La distribution de flux par conduction est d’abord estimée par moindres carrés ordinaires à partir d’un modèle en représentation d’état. La matrice des sensibilités étant mal conditionnée, une régularisation est effectuée, par pénalisation de Tikhonov. Une fois le flux obtenu, le modèle permet de calculer la distribution de coefficient d’échange en face avant, caractérisant ainsi l’efficacité du refroidissement.
|
|
|
Participants : Eva Dorignac, Gildas Lalizel, Florian Moreau et Patrick Berterretche
Partenariat et collaboration : CNES
Ingénieur d’étude : Aurélien Doriat (2021)
Le bruit émis par les propulseurs au décollage d’Ariane génère des vibrations intenses sur la coiffe du lanceur susceptibles d’endommager sa charge utile. Pour atténuer le rayonnement acoustique source émise par l’éjection de ces gaz supersoniques chauds, d’énormes quantités d’eau sont injectées sur le pas de tir. Dans ce cadre, des mesures expérimentales sont nécessaires pour comprendre l’influence de la présence de la phase liquide sur le rayonnement acoustique du jet supersonique chaud. La difficulté de telles mesures est précisément la nature diphasique eau / gaz de l’écoulement pour laquelle les métrologies classiques de type Vélocimétrie par Image de Particules (P.I.V.) ne sont pas applicables en l’état.
L’objectif de ce projet est de développer une métrologie innovante, non intrusive, pour mesurer simultanément les fluctuations des vitesses turbulentes de la phase gazeuse et les caractéristiques de la phase liquide. Cette métrologie est basée sur la fluorescence induite par Laser sur un colorant ensemençant la phase liquide et sur la phosphorescence du ZnO pour les mesures de vitesses par P.I.V. Un montage expérimental d’un jet liquide débouchant dans un écoulement transverse a été spécifiquement développé sur le banc aérothermique BATH. Une étude paramétrique sera réalisée pour étudier l’influence de la température de l’écoulement, du nombre de Weber et du rapport des quantités de mouvement entre le jet liquide débouchant et un écoulement d’air subsonique chaud sur la dynamique de l’interaction.
















































